The charge (termination) voltage level of Li-ion batteries is specified by manufacturer. The specification is based on reasonably accepted number of cycles ("battery service life") a battery can withstand, say, 500, or 1000. This parameter depends on particular cell chemistry, internal construction, charging current, and is picked up by manufacturer for the best marketable value.
Higher charging voltage leads to slight increase in battery capacity, but it shortens the battery life. The manufacturer's recommended voltage is a trade-off between these two parameters.
Contrary to urban myths of "damaged" batteries, the dependence of "battery service life" on charge voltage is a smooth continuous curve. Certainly the lifetime dependence ends at some point with catastrophic failure, but fears of 10 mV overcharging are grossly overstated. However, 100 mV over 4.35 V (for Li-Po battery) might cause a problem, see, for instance, this publication from Texas Instruments, page 3-5.

So, overcharging of 150 mV over the nominal 4.2 V leads to about 10% more capacity for first 50-100 cycles, but the service life shrinks from 500-1000 cycles to about 200. Extrapolating, the another 100 mV will result in maybe 30-50 cycles life. This means that 50 mV over the spec won't kill the battery.
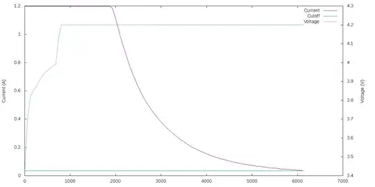
The page 3-7 is also fairly informative. It says that 70-80% of capacity is coming during CC stage, while the tail (CV stage) makes up only 20-30% of capacity, so there is no much reason to wait down to 0.03C. Most TI chargers defaults to 256 mA to terminate the charge process.
For more insights and correct application of chargers, one might want to examine other materials as THIS ONE.