2

$\displaystyle {{\sin \pi x} \over {\pi x}} = \prod_{n=1}^{\infty} \left( 1 - {{x^2} \over {n^2}} \right)$

I wanna derive it without complex analysis.

enter image description here

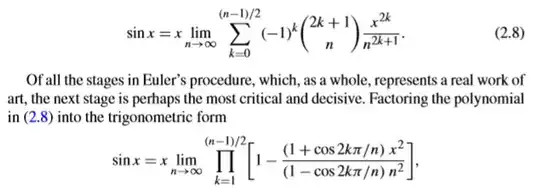
Why (2.8) be below form?

  • 1
    I think the RHS of (2.8) was derived and factored through complex analysis. A derivation with real analysis is here: https://math.stackexchange.com/questions/786046/infinite-product-prod-limits-k-1-infty-left1-fracx2k2-pi2-right –  Jul 26 '17 at 09:58

0 Answers0