Differentiation is one of the fundamental processes in calculus. Differentiating a function (usually called f(x)) results in another function called the derivative, written as f'(x) ("f prime of x"). This derivative has many uses in physics and mathematics. For instance, if we graph a polynomial f(x), the derivative f'(x) tells us the slope (the rate of change) of the original function at all its points. The first section of this article teaches you to differentiate each term of the polynomial, one at a time. The second section uses this approach to walk through a typical example problem, differentiating an entire polynomial. After some practice, differentiating will be as second nature as multiplying and dividing.

Method 1
Method 1 of 2:

Differentiating Polynomial Terms

  1. 1
    Differentiate any constant to zero. A constant is any ordinary number, with no variable involved—for example, 3, -16, or . These are freebies in any differentiation problem, because their derivative is always 0. Just cross out that term and move on.[1]
    • Write this in the form . This says "The derivative of 3 with respect to x is 0."
    • The derivative of a term is the "rate of change" of that term: how quickly that term changes inside a function. Since a constant never changes (3 will always stay 3), its rate of change is always zero.
  2. 2
    Differentiate to 1. The term (which we usually write as simply ) is another easy one to differentiate, once you know the rule. The derivative of with respect to is always 1.[2]
    • Write this as .
    • The notation dx means "derivative with respect to x." This means that we are changing the value of x, and seeing how much faster or slower the other term changes in response. In , we're comparing the change in x to the change in x. That's the same thing, which is why the rate of change is 1.
    Advertisement
  3. 3
    Write the derivative of as . The 2 in the exponent moves in front of the x to become the coefficient (the number multiplied by x).[3] ) Meanwhile, the gets reduced to .[4]
    • Have you noticed a pattern? In the derivative, the value of the variable's exponent is always one lower than it was in the original term. gets "downgraded" to (which is x), and gets "downgraded" to (which equals 1). Since the value of the variable's exponent is called the "degree" of the polynomial, we can say that differentiating a term reduces the degree of that term by one.[5]
  4. 4
    Differentiate to get . Or in English: to differentiate a variable x raised to an exponent, write that exponent in front of x as a coefficient, then reduce the exponent by 1. This is one of the most useful differentiation rules. The rules for deriving and above are actually just specific examples of this general rule.[6]
    • Example: what is (the derivative of with respect to x)?
    • The exponent, 7, becomes a coefficient in front of the term:
    • The new exponent is one lower than the original, 7-1=6.
    • The answer is .
  5. 5
    Multiply by the coefficient from the original term. The coefficient in front of the variable doesn't change when you differentiate the term. If you end up with more than one coefficient in your answer, multiply them together.[7]
    • Example: what is ?
    • (This means we can find the derivative of , then multiply our answer by 5.)
    • To find the derivative of , make the exponent 3 a coefficient, then reduce the exponent by 1:
    • Plug this back into your formula and multiply the two coefficients together:
  6. Advertisement
Method 2
Method 2 of 2:

Differentiating Entire Polynomials

  1. 1
    Treat each term as a separate problem. Polynomials contain multiple terms, added or subtracted together. To differentiate the polynomial, differentiate each term separately. You can leave all of the addition and subtraction symbols alone.[8]
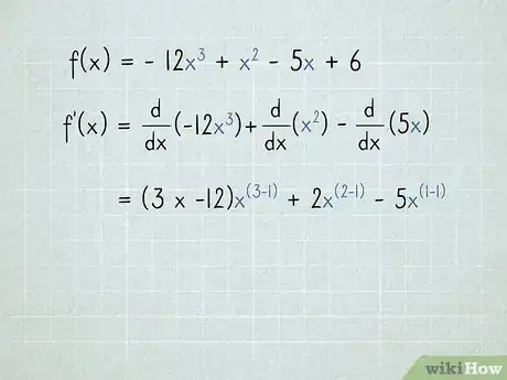
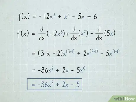
    • For example, take . The derivative, , is equal to the derivative of each term, added or subtracted as they were in the original.
    • In mathematical terms, we can write this as:
      .
  2. 2
    Get rid of the constant term. If there is a constant (a term without a variable), delete it. Differentiating always removes the constant term.[9]
    • In our example, 6 is the constant. , so we can get rid of it.
    • Careful: only terms with no variables are constants. This rule does not affect numbers that are multiplied by x or any other variable.
  3. 3
    Move each variable's exponent to the front of the term. Remember, when we differentiate, each variable's exponent becomes a coefficient. If there is already a coefficient in front of the term, multiply the two coefficients together.[10]
    • Since , we took the "1" exponent and moved it in front of the term. Since multiplying by 1 never changes the term, you can skip this step once you understand what's going on.
  4. 4
    Lower each exponent by one degree. To do this, subtract 1 from each exponent in each variable term.[11]
    • Remember that is the same as . Also remember that anything raised to the zeroth power () equals 1.
  5. 5
    Find the value of the new equation at a given "x" value. You're already done with the differentiation, but there's a common next step in test problems. If you're asked to "evaluate the expression" for a value of x, all you need to do is replace each x in the new equation with the given value and solve.[12]
    • For example, evaluate the derivative f'(x) at x=2.
    • The derivative equation we found is
    • This answer relates back to the original function f(x). It tells us that, if we draw a tangent line to that function at x=2, the slope of that tangent line is -145.
  6. Advertisement

Community Q&A

  • Question
    How can I subtract and add polynomials?
    Donagan
    Donagan
    Top Answerer
    Add or subtract "like" terms only, meaning you add or subtract their coefficients. Like terms are those having identical variables. For example, 5x²y³ and 10x²y³ are like terms, but 5x²y³ and 10x²y² are not.
  • Question
    How can I go about finding the real roots of polynomial functions?
    Community Answer
    Community Answer
    It depends on the degree of the polynomial. If it's linear, simply divide. If it's quadratic, use the formula x = (-b +/-√(b2 - 4ac))/2a. Cubic and quartic equations also have formulas to find the roots (although more complicated). However, it has been proven that there is no general, explicit formula for the roots of equations of degree 5 or higher (see Abel-Ruffini theorem). So you must try to factorize or use trial-and-error to find some roots. If they don't work, then by the above theorem you'll probably never find explicit solutions (unless you use elliptic functions). Of course, if you just want to analyze roots without getting actual values, just examine the graph with differentials.
  • Question
    How do I evaluate 3^2 - 2^3 + 10x^0?
    Donagan
    Donagan
    Top Answerer
    3² = 9. 2³ = 8. 10(x)^0 = 10(1) = 10. 9 - 8 + 10 = 11.
Advertisement

Warnings

Advertisement

About This Article

wikiHow Staff
Co-authored by:
wikiHow Staff Writer
This article was co-authored by wikiHow Staff. Our trained team of editors and researchers validate articles for accuracy and comprehensiveness. wikiHow's Content Management Team carefully monitors the work from our editorial staff to ensure that each article is backed by trusted research and meets our high quality standards. This article has been viewed 210,356 times.
7 votes - 100%
Co-authors: 28
Updated: August 5, 2022
Views: 210,356
Categories: Featured Articles | Calculus
Advertisement