Magnesium(I) dimer
A magnesium(I) dimer is a molecular compound containing a magnesium to magnesium bond (Mg-Mg), giving the metal an apparent +1 oxidation state. Alkaline earth metals are commonly found in the +2-oxidation state, such as magnesium. The M2+ are considered as redox-inert, meaning that the +2 state is significant.[1] However, recent advancements in main group chemistry have yielded low-valent magnesium(I) dimers, also given as Mg(I), with the first compound being reported in 2007.[2] They can be generally represented as LMg-MgL, with L being a monoanionic ligand.[3] For example, β-diketiminate, commonly referred to as Nacnac, is a useful chelate regarding these complexes. By tuning the ligand, the thermodynamics of the complex change.[4] For instance, the ability to add substituents onto Nacnac can contribute to the steric bulk, which can affect reactivity and stability.[5] As their discovery has grown, so has their usefulness. They are employed in organic and inorganic reduction reactions. It is soluble in a hydrocarbon solvent, like toluene, stoichiometric, selective, and safe.[2]
Discovery
Role of zinc
The first zinc(I) dimer was isolated in 2004, with more being synthesized in subsequent years.[6] The chemical similarities between magnesium and zinc led researchers to believe that a Mg(I) dimer could then be achieved. With a calculated stability of Mg—Mg bonded dimers, a synthesis route was needed.
Initials calculations and techniques
S-block compounds with low oxidation states can be short lived. There are various techniques available for use. However, the generation and detection of these molecules rely on frozen inert gas matrices, low pressures, high temperatures in the gas phase, or a combination of these. This can then be combined with theoretical studies to gain more information regarding the complex. Matrix isolation techniques were carried out for gaining spectroscopic insight on how the Mg(I) dimer may behave.[7]
By heating magnesium diboride, MgB2, at 700 Celsius (°C) with a pressure of 0.1 mbar, and passing HCl gas over it several products are formed, such as magnesium chloride, MgCl. The generation of •MgCl and subsequent compounds from the reaction then underwent further study. At 10 Kelvin (K), the solution was combined with an inert gas, undergoing IR and Raman spectroscopic techniques, combined with Density Functional Theory (DFT) calculations. This showed the monomeric and dimeric Mg(I) Halides, •MgCl and ClMgMgCl, a linear molecule.[7] While these studies were useful in gaining more insight on the Mg-Mg bond characteristics, it failed to yield a stable Mg(I) dimer in ambient conditions.
Synthesis
Precursors
The stability of the Mg-Mg bond needed to be dealt with. Researchers began to investigate sterically demanding guanidinates and amidinates. Their stabilizing abilities in low-oxidation state chemistry was attractive since it allowed for other low-valent main group complexes to be achieved.[8] This research also allowed for the first stable dimer Mg(I) dimer, [{(Priso)Mg}2].[9] Potassium reduction of heteroleptic Mg(II) iodide precursor complexes were then carried out. The ligands guanidinato and, β-diketiminato Mg(II) iodide etherate complexes can be prepared from free NH ligands and methyl magnesium iodide in diethyl ether. An example of the synthesis of the precursor synthesis can be shown below.[10] An additional precursor synthesis is shown, needed for [{(tBuNacnac)Mg}2], which can be explained in the section below.


Mg(I) dimer species
Mg)2).png.webp)
Reducing the species and its related precursors with sodium or potassium have given dimeric magnesium(I) compounds such as [{(Priso)Mg}2] and other compounds with substituted versions of β-diketiminato. These compounds, with a general formula of [{(ArNacnac)Mg}2]. However, as the size of the substituent on Nacnac decreased, the difficulty to isolate a magnesium(I) dimer increased. This can be shown by phenol, where only a Mg(II) dimer was gained, given by [(PhNacnac)2Mg]. For a bulkier analogue such as [{(tBuNacnac)Mg}2] a different synthesis route was carried out. Dibutyl magnesium and iodine were chosen since the free β -diketimine, tBuNacnacH has a different reactivity.This is due to tBuNacnacH not reacting with the Grignard reagent shown above. Instead, it can be heated with dibutylmagnesium and become deprotonated.

Mg)2).png.webp)
For the reactant, the was stabilized by utilizing a bulkier, or more sterically demanding, N-ligand. This reaction is carried out through potassium reduction of the α-diimine, MeDipDAB and Mg(II) chloride in tetrahydrofuran (THF). It can be noted that MeDipDAB can be shown by the chemical formula as [(DipNCMe)2]). The shown Mg(I) complexes are all thermally stable. Some can even tolerate temperatures up to 300 °C. They also range in colors from colorless to orange. As these compounds are investigated further, the dimers have been found to be kinetically stabilized by multiple β-diketiminate derivatives, a guanidinate, a diiminophosphinate, an enediamide, and several diimine-enolates.[3],[11],[12],[13]
Bond properties
The Mg(I) dimer formula, LMgMgL, has undergone multiple theoretical investigations regarding the bonds. Furthermore, L, a monoanionic ligand, can also include halides, hydrogen, small alkyl groups, aryl groups, cyclopentadienyl with respective derivatives and chelating monoanionic nitrogen ligands. Mg—Mg bonded molecules underwent the primary investigation, with the bond length found to be 2.76-2.89 Å. Additionally, the bond dissociation energy was found to be between 45 and 48 kcal mol−1. Specifically, for ClMgMgCl, it was found to be 47.1 kcal mol−1.[7]
s and p-orbital overlap
The Mg-Mg bond for a neutral magnesium(I) dimer has shown to be significantly sigma-bonding. This arises from the s-orbital overlap of the two metals.[14] The bonding interaction that occurs may be connected to the highest occupied molecular orbital (HOMO), giving the highest energy bond of the molecule. This can be reflected through the Wiberg Bond Index (WBI). The sigma single bond gives a WBI value of 0.9, having 90% s-character. Further theoretical investigations have proved that this does not hold for every complex. There can be notable p-orbital contribution to the Mg—Mg, with it being determined to be 55% in some complexes as the charge changes.[12] There were also findings regarding the lowest unoccupied molecular orbital (LUMO). For example, bonding character was also discovered in nearly degenerate LUMO and LUMO+1, with a HOMO-LUMO gap of 93 kcal mol−1.[9]
Potential Applications
Mg(I) dimer benefits
Reducing agents can also be considered in demand as the rapid rise of low oxidation state chemistry has been reliant on them. Common compounds include but are not limited to potassium graphite (KC8), sodium naphthalenide and its alkali derivatives, or s-block metals in their elemental form, such as lithium.[15] However, these reducing agents can have drawbacks, especially concerning accessing low oxidation states. For instance, these complexes may not be soluble in certain solutions, may lack certain selectivity, or can have an over-reduction effect of the initial precursor. Additionally, other side reactions can occur. More importantly, corrosion can be considered. Pure magnesium can be employed as an example. As the humidity increases, the corrosion rate of pure magnesium increases.[16] At 10% humidity, there is no corrosion; at 30% there is a small layer of surface oxide, with slight corrosion evident; at 80% an amorphous phase coats about 30% of the surface and shows significant corrosion.[17] Instances like these concerning the disadvantages of reducing agents, can make the dimers more appealing to certain chemical synthesizes.
Mg(I) reagent potential for complexes

Mg(I) dimers have the potential to be reducing agents that can be utilized in organic and organometallic synthesis. The thermal stability, moderate air and water sensitivity, and wide range of solubility in organic solvents may make the dimer attractive to chemists. An example of this can be shown through low oxidation state germanium (Ge) chemistry. Using Mg(I) dimers led to a Ge double bond. It can also be noted that the product had low yield. Additionally, the ligand, DipNacnac has poor solubility in the reaction solvent of ether. This allows for easy separation too.[2]
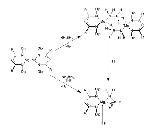
Additionally, hydrogen storage has been gained significant research attention as an alternative to fossil fuels.

Ammonia borane, NH3BH3, has a high H-content, at 19.6%, concerning hydrogen storage material.[18] However, there are issues regarding the safety, kinetics, and practical characteristics of the compound. Alternatively, more s-block amidoboranes have been researched as an alternative, with some interest lying in magnesium amidoborane.[18] Some studies have shown that using reductive dehydrogenation of ammonia borane can be achieved using Mg(I) dimers.[19]
Grignard reagent potential
Grignard reagents, given by RMgX, with R being a monoanionic organic substituent and X being a halide, are thought to proceed through some magnesium(I) intermediates, such as RMgMgX.[20] It is believed that some of the transformations that occur with Grignard reagents may proceed via single electron transfer. This proceeds from the RMg to the substrate.[9] Organic one electron reductions are also believed to be in equilibrium with a univalent magnesium compounds such as XMgMgX.[21] This reagent could have potential to be more selective when compared to other reducing agents, such as samarium(II) Iodide, SmI2, that also acts as a one electron reductant.[22]
Carbon activation

Mg(I) dimers have also been researched for carbon monoxide, CO, activation. Further research regarding the synthesis of these complexes revealed that their behavior can be compared to low-valent f-blocks compounds concerning the reduction of CO2, socyanides, and nitriles.[23],[24]
Computational studies carried out further reinforced this idea by showing parallels between CO activation with f-block metal hydride complexes. The researchers first started with Mg(I) dimers. These dimers were then hydrogenated in hopes of generating magnesium(II) dimers. Additionally, the hydrogenation of Mg(I) dimers in a CO atmosphere, led to Cross-Coupled alkoxy products. The mechanism in which this reaction proceeded was shown by the computational studies to proceed similarly to related reactions of f-block metal hydride complexes. More specifically, researchers drew a close analogy to the reactivity of [{(DippNacnac)Mg}2] towards CO2. After the reaction was carried out, the dimer was shown to have a similar reactivity towards CO2 that could also be shown in samarium(II) or uranium(III) complexes.[13] This reaction could also illustrate the potential magnesium(I) dimers have for the conversion of H2/CO mixtures. By using more reactive dimers, it was hypothesized that uses for the stoichiometric or catalytic transformation of CO/H2 mixtures to value added oxygenate products.[3] Finally, the similarity to low-valent f-block complexes can give rise to a more affordable, nontoxic, and nonradioactive practices. Comparatively, the diamagnetic dimer could also a difference in electronic properties when compared to paramagnetic nature of the lanthanides and actinides.[25]
References
- Krieck, Sven; Yu, Lian; Reiher, Markus; Westerhausen, Matthias (January 2010). "Subvalent Organometallic Compounds of the Alkaline Earth Metals in Low Oxidation States". European Journal of Inorganic Chemistry. 2010 (2): 197–216. doi:10.1002/ejic.200900966. ISSN 1434-1948.
- Stasch, Andreas; Jones, Cameron (2011-05-23). "Stable dimeric magnesium(I) compounds: from chemical landmarks to versatile reagents". Dalton Transactions. 40 (21): 5659–5672. doi:10.1039/C0DT01831G. ISSN 1477-9234. PMID 21390353.
- Lalrempuia, Ralte; Kefalidis, Christos E.; Bonyhady, Simon J.; Schwarze, Benedikt; Maron, Laurent; Stasch, Andreas; Jones, Cameron (2015-07-22). "Activation of CO by Hydrogenated Magnesium(I) Dimers: Sterically Controlled Formation of Ethenediolate and Cyclopropanetriolate Complexes". Journal of the American Chemical Society. 137 (28): 8944–8947. doi:10.1021/jacs.5b06439. ISSN 0002-7863. PMID 26135846.
- Jones, Cameron (2010-06-01). "Bulky guanidinates for the stabilization of low oxidation state metallacycles". Coordination Chemistry Reviews. FRONTIERS OF ORGANOMETALLIC CHEMISTRY: 2010. 254 (11): 1273–1289. doi:10.1016/j.ccr.2009.07.014. ISSN 0010-8545.
- Dange, Deepak; Gair, Andrew R.; Jones, Dafydd D. L.; Juckel, Martin; Aldridge, Simon; Jones, Cameron (2019-03-13). "Acyclic 1,2-dimagnesioethanes/-ethene derived from magnesium(I) compounds: multipurpose reagents for organometallic synthesis". Chemical Science. 10 (11): 3208–3216. doi:10.1039/C9SC00200F. ISSN 2041-6539. PMC 6428033. PMID 30996903.
- Resa, Irene; Carmona, Ernesto; Gutierrez-Puebla, Enrique; Monge, Angeles (2004-08-20). "Decamethyldizincocene, a Stable Compound of Zn(I) with a Zn-Zn Bond". Science. 305 (5687): 1136–1138. Bibcode:2004Sci...305.1136R. doi:10.1126/science.1101356. ISSN 0036-8075. PMID 15326350. S2CID 38990338.
- Köppe, Ralf; Henke, Patrick; Schnöckel, Hansgeorg (2008-10-27). "MgCl and Mg 2 Cl 2 : From Theoretical and Thermodynamic Considerations to Spectroscopy and Chemistry of Species with Mg-Mg Bonds". Angewandte Chemie International Edition. 47 (45): 8740–8744. doi:10.1002/anie.200802960. PMID 18830945.
- Jin, Guoxia; Jones, Cameron; Junk, Peter C.; Stasch, Andreas; Woodul, William D. (2008-05-08). "Group 13 metal(I) and (II) guanidinate complexes: effect of ligand backbone on metal oxidation state and coordination sphere". New Journal of Chemistry. 32 (5): 835–842. doi:10.1039/B718799H. ISSN 1369-9261.
- Green, Shaun P.; Jones, Cameron; Stasch, Andreas (2007-12-14). "Stable Magnesium(I) Compounds with Mg-Mg Bonds". Science. 318 (5857): 1754–1757. Bibcode:2007Sci...318.1754G. doi:10.1126/science.1150856. ISSN 0036-8075. PMID 17991827. S2CID 40657565.
- Bonyhady, Simon J.; Jones, Cameron; Nembenna, Sharanappa; Stasch, Andreas; Edwards, Alison J.; McIntyre, Garry J. (2010-01-18). "β-Diketiminate-Stabilized Magnesium(I) Dimers and Magnesium(II) Hydride Complexes: Synthesis, Characterization, Adduct Formation, and Reactivity Studies". Chemistry - A European Journal. 16 (3): 938–955. doi:10.1002/chem.200902425. PMID 19950340.
- Stasch, Andreas (2014-09-15). "Synthesis of a Dimeric Magnesium(I) Compound by an Mg I /Mg II Redox Reaction". Angewandte Chemie International Edition. 53 (38): 10200–10203. doi:10.1002/anie.201404284. PMID 25047459.
- Liu, Yanyan; Li, Shaoguang; Yang, Xiao-Juan; Yang, Peiju; Wu, Biao (2009-04-01). "Magnesium−Magnesium Bond Stabilized by a Doubly Reduced α-Diimine: Synthesis and Structure of [K(THF) 3 ] 2 [LMg−MgL] (L = [(2,6- i Pr 2 C 6 H 3 )NC(Me)] 2 2− )". Journal of the American Chemical Society. 131 (12): 4210–4211. doi:10.1021/ja900568c. ISSN 0002-7863. PMID 19271703.
- Boutland, Aaron J.; Pernik, Indrek; Stasch, Andreas; Jones, Cameron (2015-10-26). "Magnesium(I) Dimers Bearing Tripodal Diimine-Enolate Ligands: Proficient Reagents for the Controlled Reductive Activation of CO 2 and SO 2". Chemistry - A European Journal. 21 (44): 15749–15758. doi:10.1002/chem.201502755. PMID 26358928.
- Boutland, Aaron J.; Dange, Deepak; Stasch, Andreas; Maron, Laurent; Jones, Cameron (August 2016). "Two‐Coordinate Magnesium(I) Dimers Stabilized by Super Bulky Amido Ligands". Angewandte Chemie International Edition. 55 (32): 9239–9243. doi:10.1002/anie.201604362. hdl:10023/11007. ISSN 1433-7851. PMID 27303934.
- Connelly, Neil G.; Geiger, William E. (1996-01-01). "Chemical Redox Agents for Organometallic Chemistry". Chemical Reviews. 96 (2): 877–910. doi:10.1021/cr940053x. ISSN 0009-2665. PMID 11848774.
- Mcintyre, N. S.; Chen, C. (1998-10-01). "Role of impurities on Mg surfaces under ambient exposure conditions". Corrosion Science. 40 (10): 1697–1709. doi:10.1016/S0010-938X(98)00072-9. ISSN 0010-938X.
- Hu, Henry; Nie, Xueyuan; Ma, Yueyu (2014-11-05). Corrosion and Surface Treatment of Magnesium Alloys. IntechOpen. doi:10.5772/58929. ISBN 978-953-51-1728-5. S2CID 2724419.
- Spielmann, Jan; Piesik, Dirk F.-J.; Harder, Sjoerd (2010-06-16). "Thermal Decomposition of Mono- and Bimetallic Magnesium Amidoborane Complexes". Chemistry - A European Journal. 16 (28): 8307–8318. doi:10.1002/chem.201000028. PMID 20564288.
- Jones, Cameron; Bonyhady, Simon J.; Nembenna, Sharanappa; Stasch, Andreas (May 2012). "New Routes to Soluble Magnesium Amidoborane Complexes". European Journal of Inorganic Chemistry. 2012 (15): 2596–2601. doi:10.1002/ejic.201200031. ISSN 1434-1948.
- Jasien, Paul G.; Dykstra, Clifford E. (April 1983). "Simplest magnesium cluster Grignard. Theoretical evidence for strong metal-metal stabilization of RMg2X species". Journal of the American Chemical Society. 105 (7): 2089–2090. doi:10.1021/ja00345a083. ISSN 0002-7863.
- Hoffman, William D.; McEwen, William E.; Kleinberg, Jacob (1959-01-01). "Anodic reductions—V: The reduction of diketones by unipositive magnesium anodically generated". Tetrahedron. 5 (4): 293–304. doi:10.1016/0040-4020(59)80022-3. ISSN 0040-4020.
- Nicolaou, K. C.; Ellery, Shelby P.; Chen, Jason S. (2009-09-14). "Samarium Diiodide Mediated Reactions in Total Synthesis". Angewandte Chemie International Edition. 48 (39): 7140–7165. doi:10.1002/anie.200902151. PMC 2771673. PMID 19714695.
- Kefalidis, Christos E.; Stasch, Andreas; Jones, Cameron; Maron, Laurent (2014-09-18). "On the mechanism of the reaction of a magnesium(I) complex with CO2: a concerted type of pathway". Chemical Communications. 50 (82): 12318–12321. doi:10.1039/C4CC04984E. ISSN 1364-548X. PMID 25182965.
- Ma, Mengtao; Stasch, Andreas; Jones, Cameron (2012-08-20). "Magnesium(I) Dimers as Reagents for the Reductive Coupling of Isonitriles and Nitriles". Chemistry - A European Journal. 18 (34): 10669–10676. doi:10.1002/chem.201201030. PMID 22786624.
- Xu, Zhiqiang; Read, Paul W.; Hibbs, David E.; Hursthouse, Michael B.; Abdul Malik, K. M.; Patrick, Brian O.; Rettig, Steven J.; Seid, Mehran; Summers, David A.; Pink, Maren; Thompson, Robert C.; Orvig, Chris (2000-02-01). "Coaggregation of Paramagnetic d- and f-Block Metal Ions with a Podand-Framework Amine Phenol Ligand". Inorganic Chemistry. 39 (3): 508–516. doi:10.1021/ic991171b. ISSN 0020-1669. PMID 11229570.