Organic anion
In organic chemistry, organic anions are chemically heterogeneous substances possessing a carbon backbone and a net negative charge.[1] Organic anions are conjugate bases of organic acids. The following table lists some of the organic anions and their conjugate acids which are substrates of the organic acid transporter (OAT) family of transmembrane proteins.
| Organic Anions | Conjugate Organic Acids (acidic proton is shown in red) |
|---|---|
| p-aminohippurate (PAH) | ![]() Aminohippuric acid |
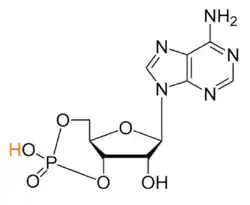
| cyclic nucleotides | ![]()
Cyclic adenosine monophosphate (cAMP) ![]() Cyclic guanosine monophosphate (cGMP) |
| prostaglandins | |
| dicarboxylates | alpha-ketoglutarate |
References
- Sekine T, Cha SH, Endou H (July 2000). "The multispecific organic anion transporter (OAT) family". Pflügers Arch. 440 (3): 337–50. doi:10.1007/s004240000297. PMID 10954321. S2CID 32469988.
This article is issued from Wikipedia. The text is licensed under Creative Commons - Attribution - Sharealike. Additional terms may apply for the media files.


