3

I've heard a bit about folks using air compressors with tubing to the toolhead and outlet openings there as part cooling. One example is the Berd Air, but from the information I can gather, it works with rather low pressures where the expansion of the compressed air is unlikely to get the air significantly below ambient temperature, so it's basically equivalent to a low-end fan. Indeed, this video comparing such a system against the HevACS found it rather ineffective.

If one wants to harness the cooling of compressed air to hit the part with air significantly below ambient temperature, what is the relationship between pressure needed and temperature drop? I assume one can work it out pretty closely with ideal gas law, but I don't understand how to figure in both the change in volume and pressure when the air exits the high pressure part of the system.

0scar
  • 35,554
  • 12
  • 65
  • 151
  • 1
    This question could be regarded as a physics question as it involves thermodynamics. – 0scar Sep 01 '21 at 09:03
  • 1
    Indeed it has overlap of physics, engineering, and 3d printing, but the context is very much the latter. – R.. GitHub STOP HELPING ICE Sep 01 '21 at 13:13
  • 1
    While compressed air comes out cold, from the decreasing pressure, the air in the line would be at room temperature, so little blasts might not cool the same as a steady stream from the compressor. Also cold air, vs room temp air might not be great for 3D print cooling, I think it would cause warping in many materials, because the plastic keeps shrinking the colder it gets. Once you’re past the glass temperature, you have no practical reason to cool it further. – ChinchillaWafers Sep 02 '21 at 20:19
  • @ChinchillaWafers: "Air in the line"? If you're doing this, you put the TX valve right at the toolhead both for the sake of flow and avoiding absorbing heat after decompression. The point of colder air is not to get the final temperature cooler but to cool quicker, since rate of cooling is proportional to difference in temperature. Ambient air at 23 ˚C rapidly cools the material from its initial temperature of 210 ˚C, but cooling is far slower by the time it reaches Tg. Getting the cold air down to near 0 ˚C (much lower is probably a bad idea for risk of freezing up) would help a lot. – R.. GitHub STOP HELPING ICE Sep 02 '21 at 20:28

2 Answers2

1

Maybe you're thinking of 'Vortex Cooling' which uses a tuned vortex tube to create hot and cold airstreams. The Wikipedia example uses 100 SCFM of filtered compressed air at 100 PSI to create a 70 °C temperature differential.

Here's one on Amazon which is targeted at milling applications. Here's another...

agarza
  • 1,559
  • 2
  • 15
  • 33
BobT
  • 196
  • 4
  • No, I'm thinking about exactly what I asked about. I'm not sure whether this is an interesting alternative though; it may be. – R.. GitHub STOP HELPING ICE Sep 07 '21 at 04:20
  • From what I gather, it uses some trick to get the resulting temperature significantly below what it would be just from the expansion of the gas. That's very interesting, but probably not a direction I'd go because of excess toolhead mass - I want to use this eventually on a delta with an extremely light toolhead. And it'd likely bring the temperature so low you'd be dealing with ice. – R.. GitHub STOP HELPING ICE Sep 07 '21 at 04:27
  • @R..GitHubSTOPHELPINGICE, As shown on the first link, you can pipe the cool air where you need it- a lightweight, flexible plastic tube would do. – BobT Sep 07 '21 at 14:43
1

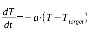
Firts of, I created a quick simplified simulation in Matlab of cooling from 210°C to bellow 50°C. Here is a plot showing the difference in temperature curves in time. As stated, it is simplified, because I guessed that a printed piece can get from 210 deg to 50 in less than 5 seconds when cooled properly to room temperature.

I used this differential equation:

enter image description here

where T is temperature, t is time, T_target is target temperature (temperature of cooling air), a is a constant which I adjusted to meet the above specified criteria (a = 0.5)

enter image description here

As you can see, you save about a second of cooling time. You say whether it is enough. In my opinion it is irrelevant for standard printing.

Here is the Matlab source code if you want to try and experiment with it (it might run in GNU Octave as well, but I haven't tried it):

clear;
clc;

a = 0.5;
targetTemp1 = 23;
targetTemp2 = 0;
tempLine = 50;

timeSpan = [0, 5];
x0 = 210;

[t1, y1] = ode45(@odeFcn, timeSpan, x0, 0, a, targetTemp1);
[t2, y2] = ode45(@odeFcn, timeSpan, x0, 0, a, targetTemp2);

figure("Position", [360, 1220, 1200, 800]);
hold on;
plot(t1, y1);
plot(t2, y2);
plot([timeSpan(1), timeSpan(end)], [tempLine, tempLine], "Color", "black", "LineWidth", 2);

grid on;
legend("Taget temperature: " + targetTemp1, "Taget temperature: " + targetTemp2);
xlabel("t[s]");
ylabel("T[\circC]");

function y = odeFcn(t, x, a, target)
    y = -a * (x - target);
end

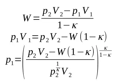
That being said, here is how I calculated the needed pressure.

Constants:

enter image description here

c is specific heat capacity of air, κ is Poisson constant for air, ρ is density od air, V_2 is volume at atmospheric pressure, I estimated this value, Δt is temperature difference assuming the pressurized air is at room temperature and need to be cooled down to 0 degrees

The needed energy too cool the air by delta t is given by this formula:

enter image description here

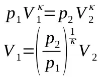
And assuming this is adiabatic process with ideal gass, we can use this equation to find p1:

enter image description here

assuming V1 is given by:

enter image description here

I calculated the needed work W is 0.3 J and the pressure p1 is 148 kPa. To me this seems fairly low, I might have made a mistake somewhere or a wrong assumption. However, I would always suggest experimenting and finding an answer empirically, because there are too many unforseen variables like: air humidity, parts that would absorb/release the heat, direction and speed of the airflow, crossectional area of the outlet and so on.

Hope this helps.

[Edit] You can find the equations on wikipedia here and here. Sadly, it is in Czech, because the English variant does not have the equations in this format.

  • Thank you very much. I still need to read in detail to understand it all, but I think this answer contains what I was looking for. FWIW the Berd Air I mentioned in the question only has 80 kPa, so the moderately higher 148 kPa you got makes some sense. – R.. GitHub STOP HELPING ICE Sep 07 '21 at 14:01
  • For what it's worth, I do consider 1s significant, especially when working with 4s total layer times. If details are small, slowing down the nozzle further to extend the layer time does not work; due to slow speed it just puts *more* heat into the part, and the other option is doing a z-hop away from the part to let it cool, but that takes a lot more time and risks stringing. – R.. GitHub STOP HELPING ICE Sep 07 '21 at 14:05
  • On the machine I'm hoping to build in the future (delta with ultralight toolhead aiming for 600+ mm/s and 50k+ acceleration) sub-5s layers are likely to be the norm for a lot of the types of things I tend to print, too. – R.. GitHub STOP HELPING ICE Sep 07 '21 at 14:07
  • From what I understand, the 80 kPa advertised is relative to (on top of) atmospheric pressure, meaning ~180 kPa in total, whereas my value is absolute. Having even cooler air blowing across the print will most likely result delamination because of the internal stresses (one point at ~200 degrees, the other at ~ 0 degrees). Also looking at the Berd Air pump I seriously doubt it will create anywhere near 80 kPa. The motor looks to be a standard 775 brushed motor, which does not have the speed and power to create such pressure. – TurgonTheKingOfGondolin Sep 07 '21 at 14:40
  • Not mentioning it is rated for 150 mA at 24V (3,6W) which is too little to even spin the motor without a load. As well as the rotor (which we cannot see) would have to be very well balanced not to vibrate violently. I say: save you money for something else. I would suggest increasing the flow rate instead of (dramatically) lowering the temperature. That would however increase the weight of the printhead. You will need to experiment to find a good compromise. – TurgonTheKingOfGondolin Sep 07 '21 at 14:44
  • Perhaps a small vacuum cleaner that is inverted could create large anough air flow while moving the weight to a stationary frame. You could also consider having PC fans blow across the whole bed. That would however rule out higher temperature printing (like ABS) and waste a lot of power just to keep the bed hot. – TurgonTheKingOfGondolin Sep 07 '21 at 14:48
  • Oh, I wasn't planning to buy the Berd Air motor - indeed it seems seriously underpowered. I was just noticing that the numbers are on comparable order of magnitude. Indeed I also plan to have whole-build-volume fans (I have 2 80mm ones installed on my Ender 3 now and they work great); it's not a problem because I mostly use unheated bed, and I'm working on solutions to get PETG to work well with unheated bed. – R.. GitHub STOP HELPING ICE Sep 07 '21 at 17:52
  • Note that I specifically don't want high flow of air close to the part; I've experimented with that before and the force of the air hitting the part deforms it before it can cool (you can measure a bias in wall position based on the relative angle of the wall to the source of air). Thus the desired to use lower flow with colder air. – R.. GitHub STOP HELPING ICE Sep 07 '21 at 17:54
  • Higher air flow can be achieved either by increasing the speed or the volume of the air being moved. If you keep the speed low and increase the volume (as with the PC-like fans), it "shouldn't" deform the print. Again, experimenting is needed (which you might have already done and I am pointing out something that is already obvious to you). So good luck. – TurgonTheKingOfGondolin Sep 07 '21 at 19:21
  • Yeah. For high volume rather than high speed, it's hard to achieve with air exiting at the toolhead, because <10ms after material is extruded the toolhead is too far away to have much affect on it. That's why I went with large full-build-volume PC-style fans already. I don't mind you reiterating the possibility though; it's good to keep thinking of all options. – R.. GitHub STOP HELPING ICE Sep 07 '21 at 19:53