The mass of a white dwarf continues to be that which it was "born" with. It will not change significantly unless it accreted material from a companion.
The radius of a white dwarf is, to first order, given by the "mass-radius relationship" and this relationship does not involve the temperature.
The mass-radius relationship is appropriate for a "cold" star. "Cold" in this context mean that the pressure that supports the white dwarf is only dependent on density, which is the case for the degenerate electrons in the interior, which have kinetic energies much greater than their thermal energy.
However, degenerate electrons also have excellent thermal conductivity, so white dwarf interiors are isothermal. Yet, they have a density gradient - denser in the middle and less dense answer move outwards. At some point close to the surface the electrons are hot enough to stop being degenerate and the gas pressure becomes temperature sensitive.
What this means is that the radius of a hot white dwarf is bigger than that of a cold white dwarf of the same mass. The effect depends on both the mass of the white dwarf (bigger for lower mass white dwarfs with lower surface gravities) and its age (since white dwarfs cool as they get older).
This effect is not negligible and needs to be properly modelled in order to understand the luminosities of white dwarfs.
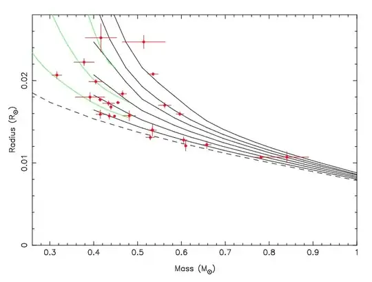
The plot below is from Parsons et al. (2017) and shows (as points) measurements of masses and radii of white dwarfs in eclipsing binary systems. The lines are model curves for white dwarfs with surface temperatures ranging from zero (dashed line) to 60,000 K (appropriate for a very young white dwarf) in steps of 10,000 K. Clearly, there is not a unique mass radius relationship and the radii do apparently depend on temperature (and core composition), as the model curves suggest.
