Turning Rate
All planes flying a turn in line-abreast formation are turning at the same rate $\omega$.
A standard turn is commonly defined as $\omega_1 = 3°\frac{1}{\mathrm{s}}$.
Full Circle Time Period
If planes are turning at the same rate, the time period to complete a complete circle will be the same as well.
Time period: $$ T(\omega) = \frac{360°}{\omega}$$
The time period to complete a circle at this standard turn rate is $T_1 = \frac{360°}{3°}\mathrm{s} = 120\,\mathrm{s}$.
Air Speed
Since the outer planes have to travel a longer distance to complete their larger circle in the same perios, the outer planes have to fly at a higher airspeed then the inner planes.
Air speed: $$ v = \omega r$$
Bank angle
Turn rate: $$\omega = \frac{v}{r}$$
Banking angle: $$\tan{\theta} = \frac{v^2}{rg} = \frac{\omega^2 r}{g}$$
Gravitational constant: $$ g = 9.81 \frac{\mathrm{m}}{\mathrm{s^2}}$$
That gives the banking angle as a function of turning radius: $$\theta(r) = \arctan{\frac{\omega^2 r}{g}}$$
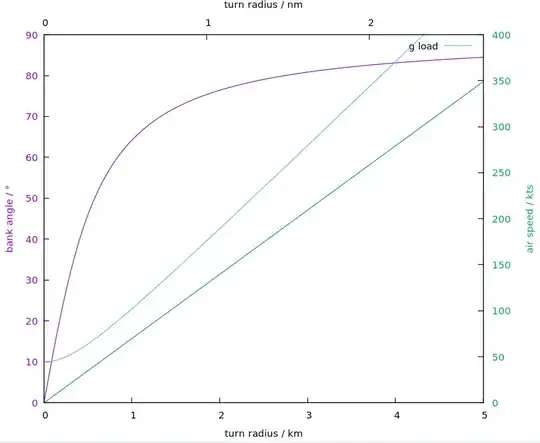
See the purple curve in the graph below for the bank angle in a standard rate turn (3°/s):

This curve seems to imply that one can fly a standard turn (or any other given turn rate) at any radius from 0 to infinity. Therefore I added two more curves to indicate the physical limits:
- air speed (green) must be in the operating range of the plane
- g load (blue) must not exceed the maximum acceptable for plane and occupants. (The correct scale for the g load is the purple scale on the left divided by 10)
And finally, the same plot but for a double rate turn (6°/s):

Practical Relevance
Typical turn radii are in the order of 1000s of meters. Typical distance (wing span) of planes in a tight formation is in the order of a few 10 meters, that is a few percent of the turn radius.
If you compare the banking angles for two planes flying in tight line-abreast formation, the banking angle difference will have a similar relative difference, that is a few percent, or a fraction of 1° in absolute terms.
[I will calculate and insert an example here, when I have the time.]
For the practical purpose of actual formation flying, pilots will give the arcus tangens a break, and fly seemingly identical banking angles.