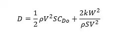
I Just wanted to see if my understanding of drag is correct, as I am unsure. I understand that during straight and level flight, the drag can be calculated as:
With the first term being the parasitic drag component and the second term being the induced drag component.
However, in a coordinated turn with the same angle of attack at the same airspeed, I have been told that the total drag can be expressed as:
And because the angle of attack is the same, the lift to drag ratio is the same. In this scenario the load factor is 2.
However, since in straight and level flight L = W. So does it follow that the total drag in this turn is double the total drag in the straight and level flight?
i.e.
I don't know why but I feel that this is wrong.
If this is correct, however, the question says that the parasitic drag of the turn is equal to the parasitic drag of the straight and level flight; so would it correct to follow that the induced drag is equal to the following equation?



