I am new to studying aerodynamics and taking up aeromodelling and am currently learning how lift is obtained in-depth. When studying the two common explanations as to how lift is generated by an airfoil (Newton's Third Law & Bernoulli's Equation), I also came across something known by Japanese aerospace engineers as the "Streamline Curvature Theorem".
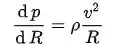
The Streamline Curvature Theorem is as follows: Pressure differences between the upside and downside of airfoils arise in conjunction with the curved airflow. When a fluid follows a curved path, there is a pressure gradient perpendicular to the flow direction with higher pressure on the outside of the curve and lower pressure on the inside. This direct relationship between curved streamlines and pressure differences, sometimes called the streamline curvature theorem, was derived from Newton's second law by Leonhard Euler in 1754:
Where P is the pressure differential, R is the radius of curvature of airflow, ρ is the density and v is the velocity.
My question is that when we apply this formula to calculate specific values for the pressure differential between the top and bottom side of the airfoil, is it right to integrate the right hand side of equation with respect to dR? Given that we are looking for instantaneous pressure differential between two points, and we are given the instantaneous radius of curvature of the airflow (I am aware that this ROC is changing as the air traverses across an asymmetric airfoil).
Thank you for reading!
