Possible Duplicate:
Does DNA react in all of the ways most other acids do?
Even if DNA is made up of nucleotide bases, it is said to be an acid. Why is this?
Possible Duplicate:
Does DNA react in all of the ways most other acids do?
Even if DNA is made up of nucleotide bases, it is said to be an acid. Why is this?
First of all, DNA is not made up of "nucleotide bases" but of nucleotides. These consist of a sugar bound to one of the 4 nucleobases Adenine, Cytosine, Guanine or Thymine (Uracil in the case of RNA) and a phosphate group.
When these bases are bound to a sugar (2-deoxyribose for DNA), they form the nucleosides Adenosine, Cytidine, Guanosine or Thymidine respectively:

When the nucleosides are bound to one or more phosphate groups, they become nucleotides. The general structure of a nucleotide is (source):

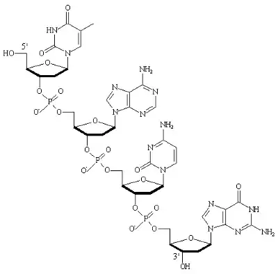
Finally, nucleotides are joined together through their phosphate groups that form phosphodiester bonds between the third and fifth carbon atoms of adjacent sugar rings. This polymer is what we know of as DNA:

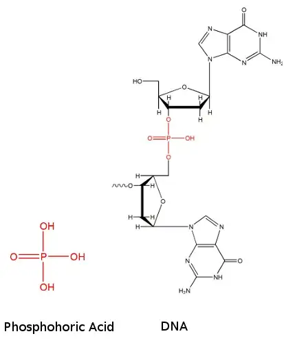
So, after this long introduction, the acidity of DNA is caused by the presence of the phosphate groups which are themselves acidic. You can see this by comparing the structure of DNA to that of Phosphoric acid:

As explained very well here:
If you compare the structures of phosphoric acid (Figure 1) and a short strand of DNA (Figure 2), you’ll see that in the latter, two protons of phosphoric acid are replaced by carbon atoms either in, or attached to, the five-membered ring. In chemical terms, such a group is called a phosphate diester. The remaining proton is now quite acidic, and is relatively easily lost, thereby giving DNA its acidic character. Indeed, under neutral conditions, DNA is deprotonated at this site, and the oxygen atom bears a negative charge. Despite the fact that DNA does contain many basic groups, their basic properties are masked somewhat because of the fact that they hydrogen bond with each other to form base pairs. Hence it’s the acidic part of the molecule that dominates, and that is why we know DNA as an acid.
DNA is made of three types of molecules in equal proportions - basic nucleotides, sugar deoxyribose and acidic phosphate groups. The bases are on the inside of the helix and partly hidden from the outside. Deoxyrybose and phopshates are on the outside, forming a backbone.
Though the proportions are equal, the nucleotides are weak bases, so the overall pH is acidic.