I am aware this is related to this question. However, I am specifically curious about what would happen to the mining rewards, not the transactions, under a forking condition.
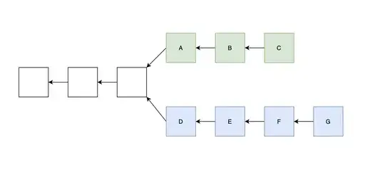
As shown in the picture. Suppose at some point the blockchain starts branching. Each new block on each chain gets appended at the same time, until eventually the blue chain gets longer than the green chain due to G being mined faster. Then the green chain becomes invalid.
Does this mean the miners for A, B, C and D, E, F don't get mining rewards at all until a longer branch (in this case, the blue branch) is determined, then miners for D, E, F, G get rewards?
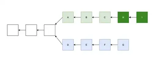
If so, what if a selfish miner releases two new blocks on the green chain after G is being appended? (As shown below) Does that mean the rewards get reversed again?
Thanks!
Edits:
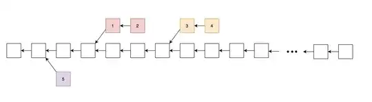
Following up with one of the answers, suppose what we have in the following is a GLOBAL view of all the blocks on the whole blockchain system:

So apparently the colored blocks become orphans. However, block #1 and block #3 seem to still get rewarded, except they can never spend those rewards. So does that mean the total number of bitcoins on the market will practically be smaller than 21 Million (after all the coins are mined), due to these orphan blocks? I.e., some coins are rewarded to the orphan blocks but they can never be used by anyone?
And do block 2, 4, and 5 also get rewarded (but can't spend those rewards)?
