I believe that you are asking if there are any reactions that are essentially "non-polar". There are two classes that immediately come to mind: (1) radical reactions and (2) pericyclic reactions.
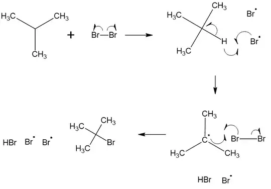
A common radical reaction studied in introductory organic chemistry is the radical halogenation of alkanes. Instead of cationic and anionic reactants/intermediates/products, there are radical intermediates that do not fall into the nucleophile/electrophile classification.

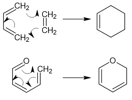
Pericyclic reactions involve the flow of pi-electrons and do not require any charged reactants/intermediates/products. Reaction 1 below is a Diels-Alder reaction and reaction 2 is an electrocyclization. Depending on your definition of nucleophile and electrophile, a Diels-Alder reaction might fit the motif of "nucleophile attacks electrophile." That is, the HOMO of the diene (1,3-butadiene in the example) interacts with the LUMO of the "dienophile" (ethylene). If you define a nucleophile as the reaction component providing the HOMO, then a diene is essentially a nucleophile in the Diels-Alder reaction (and vice-versa for the "dienophile"). However, since these reactions don't use the same types of nucleophiles as say SN2 reaction, they are often considered to fall outside of the usual "nucleophile attacks electrophile" motif. That's the way they were first introduced to me, at least.

I should add that many organometallic mediated reactions fall outside of the "nucleophile attacks electrophile" motif as well. My answer was confined to organic reactions.