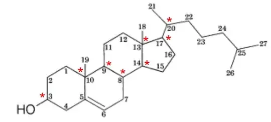
I have a problem understanding stereogenic centres. A stereogenic centre is specified (in the case of organic chemistry that I am interested to) as a carbon atom which is bounded to four different atoms or groups. However in my teacher's notes in order to make clear the way we find stereogenic centres he gives as an example a cholesterol molecule with its stereogenic centres that are shown in the image:
What I cannot understand is why the 18th carbon atom is said to be stereogenic since it is bounded to four carbon atoms?
Why is the third carbon atom said to be stereogenic since it is bounded to 2nd and 4th carbon atoms which are identical?
I have some confusion regarding the definition of an assymetric carbon atom. Even though it seems to me quite straight forward the way it is implemented seems to not obey to my theoretical expectations.Can someone please justify the way stereogenic centres are specified in the case of cholesterol? Could someone give me some examples of chemistry molecules and the stereogenic centres that we meet there ? Any help is really needed and appreciated!
- 133
- 3
-
Note an error recognizing the assignment of numbers here. Sterogenic carbon atoms are number 3, 8, 9, 10 (not 19!), 13 (not 18!), 14, 17, and 20 (not 21!). – Buttonwood Feb 05 '23 at 20:41
2 Answers
As your teacher's notes says, a carbon atom in a molecule which is bounded to four different atoms or groups can be considered as stereogenic center. An example for a molecule with a carbon atom which is bounded to four different atoms is 1-bromo-1-chloro-1-fluoroethane:
The stereogenic center is the $\ce{C}$1, which is bounded to another $\ce{C}$, and three halogens, $\ce{Br, Cl,}$ and $\ce{F}$, respectively.
An example for a molecule with a carbon atom which is bounded to four different groups is 3-methylhexane:
I choose this molecule to clear up your confusion on stereogenic centers in cholesterol. The stereogenic center in 3-methylhexane is $\ce{C}$3, which attached to 3 different carbon groups, mamely methyl, ethyl, and propyl. The forth group is hydrogen.
Now, let's see one of your concerns:
Why is the third carbon atom said to be stereogenic since it is bounded to 2nd and 4th carbon atoms which are identical?
Do they identical? Not really. What is the next atom to $\ce{C}$2? It is $\ce{C}$1 which is $\mathrm{sp^3}$ hybridized. What is the next atom to $\ce{C}$4? It is $\ce{C}$5 which is $\mathrm{sp^2}$ hybridized. Thus, $\ce{C}$2 and $\ce{C}$4 are not really identical such as methyl and ethyl groups are not identical in my second example.
And, if you really looks carefully there is no steocenter on $\ce{C}$18 (which is a methyl group). I believe the stereocenter you really talking about is $\ce{C}$13 (also, if you have problem with $\ce{C}$13, you should have problem with $\ce{C}$8 as well). On $\ce{C}$13, the three other groups are $\ce{C}$12 ($\ce{CH2}$ group), $\ce{C}$14, and $\ce{C}$17 ($\ce{C}$18 methyl is the forth). You misunderstood as $\ce{C}$14 and $\ce{C}$17 are identicle because both of them are $\ce{CH}$ groups. It is also true that $\ce{C}$14 attached to two other groups with $\ce{CH2}$ ($\ce{C}$15) and $\ce{CH}$ ($\ce{C}$8), as well as $\ce{C}$17 attached to two similar groups with $\ce{CH2}$ ($\ce{C}$16) and $\ce{CH}$ ($\ce{C}$20). Thus, to determine whether they are different or not, you need to go one step more. For $\ce{C}$14, $\ce{C}$8 attached to $\ce{CH}$ ($\ce{C}$9) and $\ce{CH2}$ ($\ce{C}$7). For $\ce{C}$17, $\ce{C}$20 attached to $\ce{CH2}$ ($\ce{C}$22) and $\ce{CH3}$ ($\ce{C}$21). That observation exclusively shows $\ce{C}$14 and $\ce{C}$17 are not identicle.
- 39,943
- 27
- 55
- 107
Consider the third carbon for instance, As you mentioned, it is connected to three carbon atoms, which are its immediate neighbors. Since the three atoms are carbons, we now go to the next-nearest neighbors, and now we see that the next-nearest neighbors for atom 3 are different. Thus, the local environment for the atom number three has four types of atoms (one O from -OH group, one H, and two distinct carbon atoms). This same reasoning can be extended to atom number 13, where we see that the neighbors of the four carbon atoms connected to atom 13 are in different chemical environment, rendering the atom number 13 to be a chiral center.
- 298
- 1
- 9
-
3So far, user55119 provided 19 answers how to apply the CIP rules and I recommend to work through these e.g., this one, or this. The results are developed gradually and amended by useful illustrations. – Buttonwood Jan 22 '23 at 18:06
-
I was always puzzled by the definition of stereocenter based on how many 'different groups' it has. Perhaps it is more useful to learn what stereoisomers are; then a 'safer' definition may be 'an atom is a stereocenter if, by swapping any two different groups bound to it, a new stereoisomer is generated'. See https://en.wikipedia.org/wiki/Stereocenter . This covers cases like 4-methyl-cyclohexanol, which has two stereocenters despite being achiral and having two identical groups on each of them. But yes, the OP's had simply misinterpreted the term 'different atoms/groups', not this aspect. – user6376297 Jan 22 '23 at 19:10

