7

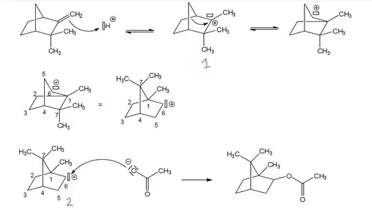
Can someone explain to me why there is a rearrangement reaction of carbocation 1 to carbocation 2? To me the second carbocation appears to be less stable than the first because it is less substituted.

enter image description here

Thank you in advance

jerepierre
  • 10,698
  • 3
  • 38
  • 57
ParaH2
  • 4,177
  • 4
  • 26
  • 42
  • Can you elaborate on the context of this synthesis? Is it a classical organic total synthesis, or enzymatic? Also, the final product does not appear to be camphor, but rather the acetate ester of borneol, i.e. bornyl acetate. – Curt F. Jun 27 '15 at 21:43
  • Its a part of camphor synthesis, and its not enzymatic. – ParaH2 Jun 27 '15 at 21:47
  • What are the reaction conditions for this step? – Curt F. Jun 28 '15 at 03:57
  • 1
    Just a guess but I think, as you said, 2nd carbocation is less stable and thus it reacts easily. Steric hindrance also seems to be another factor because of which 2nd one reacts easily compared to the first one. There is an equilibrium between the two carbocations and the reaction is driven to the forward direction by the non reversible final step. – Papul Jun 28 '15 at 07:42
  • 1
    Could you add a source to this mechanism. It contains at least one obvious mistake. I.e. The two structures in the second row of the image are not equal. The numeration of the six-membered ring must be reversed and the charge is therefore on the left side. One could say the enantiomer is depicted.// On another note I highly doubt that there is a carbocation with an analogous geometry to 2. I also doubt a two step mechanism is the most economic. I'd rather guess it is concerted. – Martin - マーチン Jun 29 '15 at 10:01
  • Yes of course its the solution of an exercize ! :) – ParaH2 Jun 29 '15 at 11:27

1 Answers1

7

Since mechanistic studies of the camphene/ bornyl acetate system are not available, I will focus on the parent compound norbonyl, and with it explaining the stability of the cation.

For quite some time there has been active debate over the structure of the 2-norbonyl cation. A very brief description of the two sides can be found in the Wikipedia article. A short history of the argument can be found at the homepage of the Royal Society of Chemistry (RSC): "The nonclassical cation: a classic case of conflict" by Mark Peplow.

In 2013 the case was finalized after I. Krossing's group was able to obtain a crystal structure of the compound. Another blog post at the RSC gives some more insight into the matter: "Crystal structure closes classic carbocation case" by Andy Extance. Finally we can speak of the 2-norbonyl cation as a true non-classical cation. The findings are also in good agreement with high-quality calculations. F. Scholz, D. Himmel, F. W. Heinemann, P. v. R. Schleyer, K. Meyer, and I. Krossing, Science, 2013, 341 (6141), 62-64.

This does in principle mean, that at very low temperatures, the 2-norbonyl cation is best described by the following resonance structures (courtesy of wikipedia):
resonance structures of the 2-norbornyl cation

At higher temperature the structure is quite disordered. In solution this means basically, that there is an ultra fast equilibrium (at the rate of molecular vibrations) between several structures. This would also explain the high reactivity of this compound.

Since camphene is a substituted norbornene, similar reactivity can be expected. The reaction is therefore most likely determined by the small steric effects. Since this reaction is highly selective, one can also safely assume, that the thermodynamic favoured product is formed. In this case it is the isobornyl acetate.


I have already mentioned it in the comments, but I am including it here nonetheless. The second row of your image is contains the wrong numeration and therefore depicts the mirror image. Correct is the following depiction:
correction to the scheme of the camphenyl cation

Martin - マーチン
  • 44,013
  • 13
  • 159
  • 319
  • Thank you very much, it make sence now, but its a bit more complex than I think. I though the final product was the cinetic and the thermodynamic favoured product. I will read the references you add. And can you tell me if you know a good software to do representation of organic molecules ? – ParaH2 Jul 04 '15 at 18:35