16

I've been asked this question a few times, and while I think I know the answer, I'd like to know more.

Graphite, as we know, is a sheet polymer. Since polymers are bound to be finite by physical considerations, graphite must have "edges". My question is, what happens at these edges?

I can cook up these possibilities:

  • A graphene sheet "folds back" on itself, thus forming a tube and taking care of most of the edge carbons. But this would make graphite less slippery, so I doubt this is the case.

  • Random elements/compounds from the environment at time of synthesis latch on to the edges, taking care of the valency of Carbon

  • The edge carbons form double/triple bonds amongst themselves

I'd like to know more about this. I'm also curious what happens to the resonance of graphene at the edges.

M.A.R.
  • 10,576
  • 19
  • 71
  • 93
ManishEarth
  • 15,177
  • 14
  • 76
  • 114
  • Are you sure "folding back" would make it significantly less slippery? After all, those bonds would only be present along lines of length of order $\mathcal{O}(\sqrt{n})$, while the forces between sheets act on a whole area: $\mathcal{O}(n)$, where $n$ is the number of atoms per sheet. Of course these forces are much weaker than valence bonds, but only by some 2-4 orders of magnitude. What is the size of graphene sheets in graphite? I would have thought it's more than $10^8$ atoms, so $\sqrt{n} > \eta$ and the forces between sheets would still dominate. – leftaroundabout May 17 '12 at 12:41
  • @leftaroundabout: No, I'm not sure ;-) Yeah, that sort of makes sense. The slipperyness would decrease if the tubes had small diameter but large length. – ManishEarth May 17 '12 at 13:02

2 Answers2

8

It does appear that the graphene sheets fold back on themselves. This paper reports that the graphene sheets that make up both natural and synthetic graphite, double back over each other with "nano-arches". This is an illustration from the paper.

There are also SEM and TEM micrographs of a graphite crystal that are pretty interesting.

Janice DelMar
  • 6,106
  • 1
  • 35
  • 36
  • Damn, my hunch was proven wrong :p. Pretty interesting structures, I'll read the whole paper sometime soon. – ManishEarth May 19 '12 at 01:42
  • @Manishearth - A quick read over the paper indicates that whilst this is a major phenomenon in graphite edges, it's probably not the whole story. Sheets also need to be terminated in the orthogonal direction to the arches which probably means that the 'dangling bonds' are passivated in other ways. Also, note figure 3d, which depicts a stepped, non-folded structure on account of the instability of the arches at high temperature. I suspect the most inclusive (but least helpful) conclusion is 'it's complicated'. – Richard Terrett May 20 '12 at 13:19
  • @Richard Terrett-Right, I should have been more specific in my answer. I did not mean to imply that this was the whole story, just that there might be fewer edges than he had originally envisioned. – Janice DelMar May 20 '12 at 16:01
  • @JaniceDelMar - No problem :) I imagine the folded tubes are possibly much longer than they are wide. – Richard Terrett May 21 '12 at 05:27
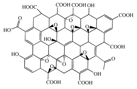
5

Defects in graphite result from oxidation. They are $\ce{ OH, COOH}$ and epoxy groups, as in this image:

image

From http://cnx.org/content/m29187/latest/

I think the edges of graphite have the same chemical nature, and thus have these defects.

ManishEarth
  • 15,177
  • 14
  • 76
  • 114
かがく
  • 51
  • 3