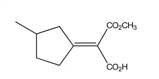
For the following compound
Right hand side of double bond: $\ce{CO2CH3}$ is highest priority due to the extra carbon (as we work along both chains)
But for the left hand side oft he double bond I am stuck.
I thought maybe we take the blue path, and as there is 3 carbons as opposed to 2 on the orange path, the blue path is the highest priority :
But my book gives the opposite answer :

There is a similar question here How to assign E/Z configuration according to the Cahn-Ingold-Prelog rules when subsituents differ only by stereochemistry but in the case of my question the carbons on the cyclo which are directly after the double bond do not have groups attached.

