Approach:
The approach taken in this proposed synthesis of chloramphenicol is largely based on Greene's synthesis of paclitaxel, using dihydroxylation methodology proposed by Sharpless.
Whilst not particularly elegant (I was hoping for some kind of asymmetric hydrogenation to set the stereocentres), it does get to the product in a respectable 7 steps (including setting both stereocentres, as required), and avoids having to introduce protecting/directing groups at any stage.
Forward synthesis:

Step 1: Horner Wadsworth Emmons olefination
The first step in this proposed synthesis is a Horner Wadsworth Emmons olefination to introduce the (E)-alkene required for the planned dihydroxylation. Without the nitro-group, the exact reaction has been done many times and with good selectivity, so no reason to assume that this HWE would be particularly challenging (the nitro group clearly makes the aldehyde electron poor).
Step 2/3: Sharpless dihydroxylation, epoxidation sequence
With the (E)-alkene formed, a Sharpless asymmetric dihydroxylation can take place using AD-MIX-B (taking the aryl group as 'large' and the ester as 'medium'). This step (without the nitro) is present in the Greene paclitaxel synthesis (above) and initially gives 82% e.e, though a single recrystallisation of the product brings this up to >95%.
Once recrystallised, treatment with mesyl chloride and subsequent heating (same pot) affords the necessary epoxide.
Step 4/5: Epoxide opening and reduction
Now comes the slightly dubious step....
In the paclitaxel synthesis, the epoxide is opened with sodium azide at the benzylic position (expected, the aromatic ring can stabilise the developing partial positive charge here), however in our case, we have an incredibly electron withdrawing nitro group in the 4-position, completely shutting down any stabilisation at the benzylic position.
Based on this lack of benzylic stabilisation, we could reasonable assume that it will take place with the opposite regioselectivity to the paclitaxel case. There is some evidence for this in the literature, (including where there is an ester present on the other side, but sadly not using azide as the nucleophile), and a cursory flick through an organic textbook will tell you that SN2 adjacent to carbonyls is generally fast.
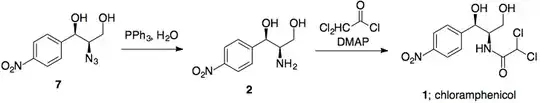
Assuming it works fine, a Staudinger reduction converts the azide to the secondary amine with retention of stereochemistry.
Step 6: Ester reduction
Lithium borohydride is a mild and selective reagent, able to reduce esters in the present of various other functionality, including nitro groups. One draw-back of this is that lithium borohydride is significantly slower than its counterparts (not to mention more expensive), but, using LAH or other highly reactive hydride species would result in side reactions involving the nitro group.
Step 7: Amide bond formation
The required acyl chloride is commercially available, and should do the required reaction in place of the possibly competitive ester formations (nitrogen LP higher in energy).
Conclusion:
7 steps overall starting from the cheap, commercially available 4-nitrobenzaldehyde. The majority of steps have good precedence on similar systems (ignoring the epoxide opening, which may/may not be fatal), and all of the proposed reactions can (and have been) demonstrated to be possible on large scale (again, ignoring the epoxide opening, but TMS-azide is often substituted in the case of process syntheses involving azide).