10

This drug hydroxychloroquine has become a new burning topic of discussion as a chemistry enthusiast:

Hydroxychloroquine structure

I know that in an industrial preparation we need to account fpr a lot of factors like temperature, solvent, expenditure etc. I tried this, which did not seem good enough:

Proposed synthesis

It seems that the nucleophilic aromatic substitution is not appropriate and the starting products chosen may not be commercially available. Can someone suggest a better yielding and more economical pathway?

orthocresol
  • 71,033
  • 11
  • 239
  • 410
An enthusiast
  • 320
  • 1
  • 12

2 Answers2

9

This took a bit of thinking about but here is a viable route from commercially available bulk materials.

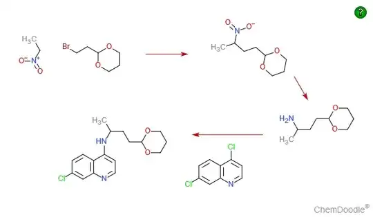
Start with nitroethane, deprotonate ($\ce{t-BuOK}$ in THF would be my choice, but $\ce{NaOEt/EtOH}$ should do it) and react with the commercially available dioxane protected 3-bromopropanal. Reduce the nitro group - alkyl nitro groups are tricky to reduce, I've found Hg/Al amalgam to be pretty good but others may have different conditions. There's a recent review of reductions$\ce{^{[1]}}$. The product of this will do the SNAr with 4,7-dichloroquinoline, I would try $\ce{K2CO3/MeCN}$ for this, but here are plenty of other possible conditions. This is a good point to purify, then reveal the masked aldehyde by acid hydrolysis and do a reductive amination with the commercially available N-Ethylethanolamine to give the desired product.

enter image description here

Reference

  1. Manuel Orlandi, Davide Brenna, Reentje Harms, Sonja Jost, and Maurizio Benaglia, Organic Process Research & Development 2018 22 (4), 430-445 DOI: 10.1021/acs.oprd.6b00205
Nilay Ghosh
  • 25,509
  • 26
  • 91
  • 197
Waylander
  • 22,035
  • 4
  • 37
  • 58
  • @Waylander: A Chem Abst search did not locate effective methods for alkylation of nitroethane with primary alkyl halides. In other cases, C vs. O alkylation is always an issue. However, condensation of nitroethane with aliphatic aldehydes is efficient. (DOI:10.1021/ol800224k). I would offer addition of 2-(ethylamino)-ethanol to acrolein followed by base-catalyzed condensation of the resultant aldehyde with nitroethane. Then, hydrogenate both the double bond and nitro group. – user55119 Apr 26 '20 at 17:56
  • Thank you for that thought. I do not have any database access so cannot check a lot of reactions. I am not a fan of hydrogenating aliphatic nitro groups as they give low yields in my experience. – Waylander Apr 26 '20 at 18:00
3

Note: Organic chemistry is not my field of expertise. This is just a supporting answer to Waylander's excellent answer which is purely based on online research. OP want some canonical answers and if people are interested in this question, I might as well place a bounty.


One route I found is react 1-chloro-4-pentanone with 2-ethylaminoethanol to make aminoketone which undergoes reductive amination making 4-[ethyl(2-hydroxyethyl)amino]-1-methylbutylamine. Reacting this with 4,7-dichlroquinoline* makes the desired hydroxychloroquine.

enter image description here

*There are 3 methods to make 4,7-dichloroquinoline(see ref. below for more details). One of the method is as follows:

Take 3-chloroaniline and ethoxymethylenmalonic ester to make (3-choroanilino)-methylenemalonic ester, which then undergoes high-temperature heterocyclization to make the ethyl ester of 7-chloro-4-hydroxyquinolin-3-carboxylic acid. Hydrolyzing this with sodium hydroxide gives 7-chloro-4-hydroxyquinolin-3-decarboxylic acid, which when heated at 250–270°C is decarboxylated, forming 7-chloro-4-hydroxyquinoline. Treating this with phosphorus oxychloride gives 4,7-dichloroquinoline.

enter image description here

Reference

  1. Hydroxychloroquine and Chloroquine articles respectively of ScienceDirect.com. Original reference is "Drugs for Treating Protozoan Infections by R.S. Vardanyan, V.J. Hruby, 2006"
Nilay Ghosh
  • 25,509
  • 26
  • 91
  • 197
  • thanks for taking intrest on my question. I just had one doubt regarding the Decarboxylation of compound 37.1.1.6. I know that picolinic acid will be decarboxylated on heating will the same happen with this – An enthusiast Apr 26 '20 at 11:21
  • @Adithya Yes, it should but then again, I am no expert in organic chemistry. Let other expert users clarify this. HCQ is a burning topic nowadays and I believe it will attract more people :) – Nilay Ghosh Apr 26 '20 at 11:31
  • 2
    5-Chloropentan-2-one is accessible from levulinic acid, 4-oxopentanoic acid. https://chemistry.stackexchange.com/questions/126004/how-is-levulinic-acid-formed-from-sucrose/126022#126022 – user55119 Apr 26 '20 at 15:44