Data Point 1 - quantum chemical calculations

http://nzc.iap.ac.cn/uploadpdf/Wang_et_al._CSB_2007a.pdf
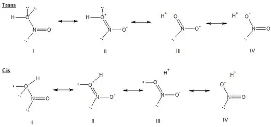
Key points in paper:
- There is some sort of interaction between the hydrogen and the terminal oxygen in the cis isomer; the author leave it up to the reader to decide whether one should consider that a hydrogen bonding interaction or a dipole-dipole interaction. Question - the interaction seems to fit the definition of H-bonding; why raise the possibility of it being a dipole-dipole interaction?
- The authors discuss resonance contributors and use bond lengths along with other factors to determine the main contributors for the cis and trans isomers. Their analysis reflects ron's analysis perfectly.
- This is perhaps the most significant point and it is also discussed on ron's excellent analysis:

- Bent's rule is not explicitly invoked in the paper's analysis but it is implied.
Data Point 2 - Professor's claim - unsourced

Data Point 3 - Another Book's Claim

My questions
1) I have three sets of bond angles for the HONO molecule. The first and the last agree with each other in a general sense: cis-HONO exhibits a larger $\ce{O-N-O}$ bond angle than does the trans conformer. The middle picture - my professor's claim - contradicts the other two. Cis-HONO exhibits a smaller $\ce{O-N-O}$ bond angle than trans-HONO.
Who's right? From the replies I have gleaned that hydrogen bonding is likely to have a small to non-existent role in HONO given that hydrogen-bonding might actually increase (pseudo) ring strain.
I also think that my professor's argument regarding free-rotation along a single bond axis is a bit simplistic at best; in isolation, yes, single bonds can rotate, but so can double bonds (you just have to expend enough energy to break the pi-bond). Plus, there are barriers to free rotation of single bonds. You can't rotate single bonds willy nilly all the time. And according to the quantum mechanical calculation, the cis isomer exhibits a slightly higher energy than the trans isomer.
1a) Over what maximum distance can hydrogen bonding still exert a notable force? I'm curious. With this information I might try to do some trig using the QM data and see if the H and the O in the cis-conformer even come close enough for there to be hydrogen bonding.
2) Can cis and trans terminology be used to describe HONO? Usually these two terms are used with respect to identical atoms or functional groups. How about anti and syn? Or eclipsed and non-eclipsed?
3) Tautomerization. Why can't the proton be attached to the N? What's the barrier to tautomerization?
4) Ionic resonance structures - are these valid in the aqueous phase? Seems that if we have a lone proton hanging around in water it would be immediately solvated and taken away from the rest of the molecule ... this was the issue the prof raised. An obvious counter to his issue is that resonance structures don't exist discreetly; the ionic resonance structure is just a contributor - a partial representation of the true bonding nature in nitrous acid. It doesn't actually suggest that the proton is separated from the rest of the molecule. Dunno why he raised that issue ...
5) Authors of one paper also mention that nitric acid exhibits a similar widening of the cis isomer's ONO bond angle ... what might the two different bond angles for nitric acid be? Hell, does nitric acid even have cis/trans isomers? I don't think so ...
Regarding intramolecular hydrogen bonding in HONO
The below paper is based on the premise that hydrogen bonding exists within nitrous acid.
The influence of intramolecular hydrogen bonding on the photodissociation of cis-HONO is probed via measurements on the OH fragment ejected by specific [...] stretching (ν2) vibrational levels of the à state. Due to hydrogen bonding between the H atom and the terminal oxygen, the ν2 motion is coupled to the in-plane HON bend ν3. Since the latter evolves into fragment rotation, the rotational energy and anisotropy of the OH product increases with the number of ν2 quanta. By contrast, ν2 in trans HONO is a relatively isolated [...] vibration and thus does not influence the OH photofragment's properties.
