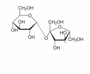
I was searching for the Haworth projection of sucrose and I got this image from wikipedia (and much of the internet).
(wikipedia link: https://en.m.wikipedia.org/wiki/Sucrose).
But isn't it wrong!?
The image shows a (#1Carbon to #5C) linkage of glucose to fructose respectively.
What i think the image is showing:
(edited wikipedia image)

But it should show (#1C to #2C) linkage of glucose to fructose respectively.
Should it not be like this image:


