1

I am solving the example from the book [Essentials of Chemical Reaction Engineering, Chapter 3, P3-12B] and finding out a contradictive point.

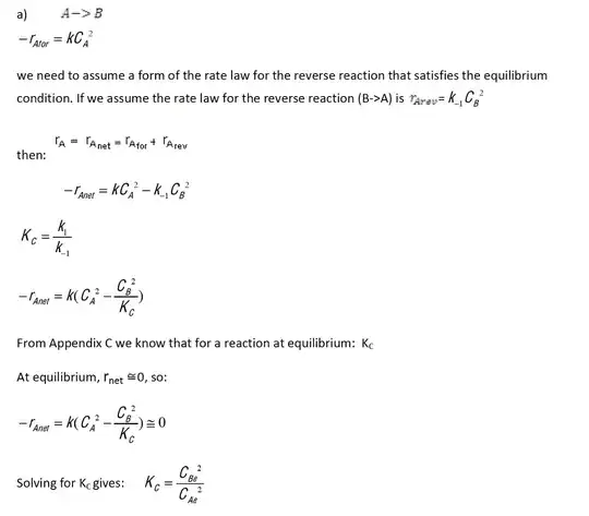
"The rate law for the A->B reaction was obtained at low temperatures. The reaction is highly exothermic and, therefore, reversible at high temperatures. Suggest a rate law for the reaction at high temperature."

The reaction A->B is irreversible at low temperatures and the rate law is $-r_A=k C_A^2$

The answer given in the book is:

enter image description here

However, if I look back at the definition of the equilibrium constant

enter image description here

The answer should be $K_c=\frac{C_B}{C_A}$.

If I use the irreversible rxn to derive the answer, it will be $K_c=\frac{C_B^2}{C_A^2}$

I am confused by two different answers.

Karsten
  • 40,170
  • 8
  • 67
  • 183
Wang HF
  • 11
  • 1
  • 1
    Only elementary reactions satisfy the condition that the order of a species is equal to its molar coefficient: $\alpha=a$; $\beta=b$. If the reaction is not elementary, $\alpha\neq a$; $\beta\neq b$. – Sam202 Mar 29 '24 at 00:58
  • 1
    Note that using photos/screenshots of text instead of typing text itself is highly discouraged. The image text content cannot be indexed nor searched for, nor can be reused in answers. Specifically handwritten scripts can be difficult to decipher. Consider copy/pasting or rewriting of essential parts. // Optional: Formatting guides for texts and formulas/equations/expressions. – Harikrishnan M Mar 29 '24 at 02:45

1 Answers1

1

No matter what the kinetics, the equilibrium constant for the reaction $\ce{A <=> B}$ is $$K = \frac{[\mathrm{B}]}{[\mathrm{A}]}$$

On the other hand, the equilibrium constant for the reaction $\ce{2A <=> 2B}$ is $$K = \frac{[\mathrm{B}]^2}{[\mathrm{A}]^2}$$

The rate law of the forward step does not determine the equilibrium constant expression. At equilibrium, all steps in the reaction are at equilibrium. The elementary steps have the same rate laws as they have before reaching equilibrium, but the overall rate law is different than the rate law you might figure out starting with reactants only (no intermediates or product yet).

For the relationship of rate laws and equilibrium constant expression, see this answer I wrote, and the questions and answers linked to it.

Karsten
  • 40,170
  • 8
  • 67
  • 183