I am curious as to why compounds with inert gases, such as $\ce{XeF4}$, $\ce{XeF2}$, and $\ce{XeO3}$ are considered powerful oxidizing agents. I would attribute the phenomenon to the highly oxidized state of the noble gas which would be unstable but I am not too sure about it.
- 44,013
- 13
- 159
- 319
- 1,411
- 4
- 14
- 21
-
http://chemistry.stackexchange.com/questions/13602/how-many-argon-compounds-are-theoretically-and-experimentally-available, http://chemistry.stackexchange.com/questions/7764/are-there-natural-conditions-that-could-enable-the-formation-of-noble-gas-compou – Mithoron Apr 13 '15 at 10:03
1 Answers
Let's be clear here. Xenon by itself is not an oxidizing agent. Instead, certain compounds of xenon tend to be strong oxidizing agents.
First, let's consider an analogous case - the nitro group. Molecules containing nitro groups ($\ce{-NO2}$) tend to be explosive - the nitro groups contain oxygen which facilitates combustion. Remember, combustion is just a form of oxidation.
Back to xenon!
Xenon, being a noble gas, shouldn't like bonding too much. It already has a complete octet of outer shell (valence) electrons.
So it is likely the case that compounds of xenon are only weakly held together. Compounds of xenon can therefore said to be relatively thermodynamically unstable. Therefore, it is also likely that compounds of xenon tend to react in the presence of other molecules - especially ones containing atoms to which fluorine can form stronger bonds.
We verify the above by examining bond enthalpy data: the Xe-F bond has a bond energy of about 130 kJ/mol. Compare this to a typical C-F bond with a bond energy of 485 kJ/mol.
It is no wonder therefore that compounds such as xenon difluoride are used in fluorinating (oxidizing) organic molecules.
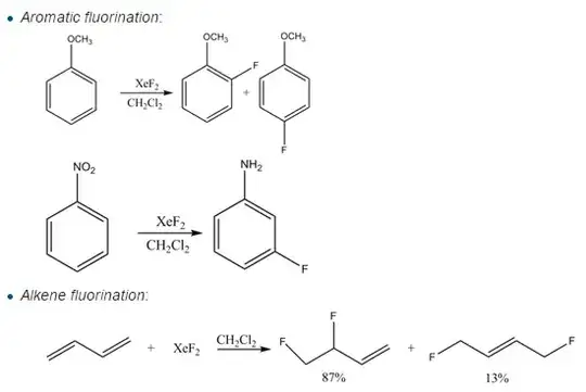
Here are some examples from Wikipedia. Why the nitro group in the second photo has been reduced to an amino group - I have no clue - and I suspect it's just an error. Further updates soon ...

- 18,815
- 49
- 177
- 341
-
2Why does $\ce{XeF2}$ reduce the nitro group to an amine group in your second example? – bon Apr 14 '15 at 13:45
-
@bon good catch and I have no clue. Picture was taken from Wikipedia – Dissenter Apr 14 '15 at 13:48