I am trying to implement BRDF microfacet path tracing and I think I need a little push. I will explain what I understand so that you can correct my mistakes.
I start with simple rendering equation:
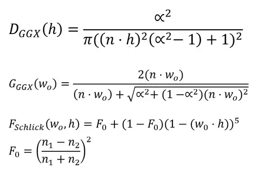
Le and Li are radiance we have no control of so I cannot change anything about them. The only thing I can change is function F which is called BRDF. Specifically, I am using this Cook-Torrance microfacet specular BRDF I found here.
For functions F, G and D I choose these formulas.

Let's start with the Fresnel function. Greater the angle between H and Wo (or Wi, it should be the same) the more light is reflected. When the angle between H and Wo will be 90° then the function will return 1. That means that all of the light is reflected. That is understandable, but when I will look directly down to normal the result will be 0.14163. is really so little light reflected back? I thought that Fresnel gives percentage between reflection and refraction on the water surface for example. Is this right?
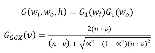
Following with function G - Geometric shading. I want to use the Smith shadowing model because I want to improve it later for multiple scattering BSDF. The equation goes like this:

As G1 can be used more types of functions, but I like GGX. D_GGX is evaluated for both incoming light and outgoing light. It describes how much light will NOT be blocked by surface imperfections.
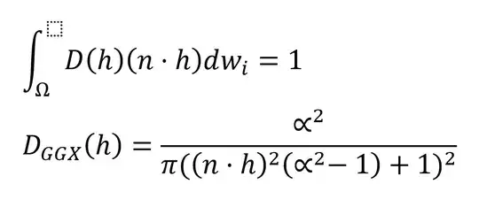
And last function D - Normal distribution function. With this one, I have the biggest problems. It describes the probability that a new microfacet normal will be pointing to the given direction. This depends on roughness. So perfectly smooth surface will have every normal pointing upward, but as the surface gets rougher and rougher normals will start to point to different directions. With 100% rough material the chance of normal pointing a given direction should be uniform over the whole hemisphere. Because we are talking about probability the integral of probability over hemisphere should be 1. as this equation says, but I don't understand why there is a dot product of N and H.

Now I will explain how I am using these equations.
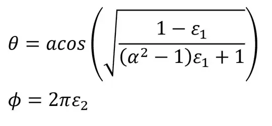
I start with generation microfacet normal H with distribution D_ggx. Spherical coordinates a generated like this: (epsilon is a random number from the interval (0;1>. I can't use 1 because we cannot divide by 0)

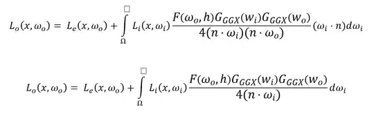
With H defined I can reflect Wo and get Wi. H is now half vector between Wo and Wi. Now I calculate F and G. I am not using D anymore because I already used it for generating the microfacet normal H (that is against what I read in this answer). I divide them by 4 * dot(H, Wi)dot(nWo). This final number should be weight describing how much light [Li(Wi)] is reflected towards Wo. Together with a dot product of n and Wi from rendering equation. I think I have this part wrong.
I am not using any importance sampling for now because I think it is not necessary to work. Am I right? Of cause with importance sampling, the image would converge faster. This is my final equation.
Of cause, as you might guess when I implement this it returns almost totally black image. If you don't find any mistake in the math then the error has to be in code (but I will bet a 10$ it is a math problem)
If you need any specification of my decisions or goals I will happy to answer you.
