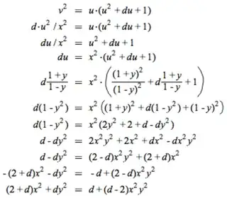
According to the paper "Faster addition and doubling on elliptic curves" by Bernstein and Lange, the Montgomery curve (Curve25519) $$v^{2}=u^{3}+486662\cdot u^{2}+u$$ is birationally equivalent to the Edwards curve (Ed25519) $$x^{2}+y^{2}=1+(121665/121666)\cdot x^{2}y^{2}.$$The paper says that the transformation is easy and can be done with$$v=\sqrt{486662}\cdot u/x$$ $$u=(1+y)/(1-y).$$ However, when I try to do this transformation I do not obtain the Edwards curve, but I get $$(2+d)x^{2}+dy^{2}=d+(d-2)x^{2}y^{2}$$ with $d=486662$.
So I wonder how, starting from Curve25519, I can get to $e=121665/121666$ and $$x^{2}+y^{2}=1+e\cdot x^{2}y^{2}?$$ Thanks!
The detailed transformation:
