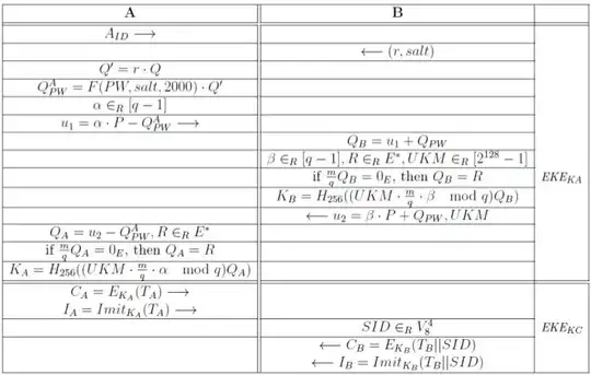
In crypto protocols that contains calculus on elliptic curves I can often see $\dfrac{m}{q}$$Q$ where $m$ stands for order of EC points group and $q$ is the order of corresponding subgroup of $m$. $Q \in q$.
What is the possible sense of this multiplication speaking mathematically?
It's possible that protocol example will be needed.
Here it is: