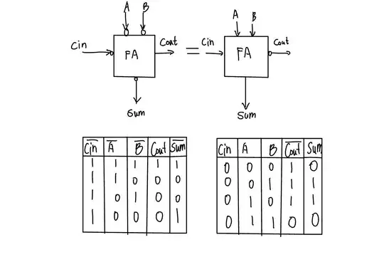
The given inverting property states that the FA stays the same if I invert all the inputs and outputs.
Using this idea we modify the ripple carry adder into the below form, but why can it be translated as below? Clearly there are many inversions missing, as highlighted in yellow.


