I have question abouth parametric spectrum density (PSD) estimation using Yule-Walker (autocorrelation method) equation, which relays on autocorelation:

And it's mention: "However, since the autocorrelation method applies a rectangular window to the data, the data will be extrapolated with zeros. As a consequence, the resolution of estimates is lower…"
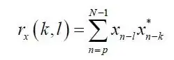
Another parametric PSD estimation is covariance which relays equation:

And it's mention: "The advantage of the covariance method over the autocorrelation method is that no windowing of the data is required in the formation of the autocorrelation estimates rx(k,l)."
So I don't understand from where this window for data.