5

I am having a little trouble understanding what results from short circuiting.

The bottom circuit is the one we are given in the question, and we are asked to obtain the Norton equivalent. The above picture is the worked solution.

enter image description here

I don't quite get why we can "ignore" the \$20\Omega\$ resistor, is this because the current will flow through the short circuit because it has far less resistance? This has popped up before and I don't quite get it.

Null
  • 7,603
  • 17
  • 36
  • 48
sebajun
  • 77
  • 1
  • 2
  • 6

1 Answers1

12

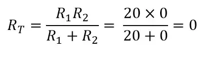
Think everything you have on the circuit a resistor even the wires to connect different component. In ideal condition the resistance of a wire is 0 Ohm. We make short circuits with wires. Therefore the resistance of the short circuit is 0 Ohm. Now if you calculate equivalent resistance of the 20 Ohm and 0 Ohm resistor then you get 0 Ohm. enter image description here enter image description here

The theory here is, the resistor of 0 Ohm has a conductance of infinity (1/0= infinity). When there is two resistor in parallel then the current divides itself accordance to conductance of the resistors. The more conductance the more current. Here we have a resistor with unlimited conductance, so all current flows through it. Therefore, the other resistor has no effective value. That’s why the 20 Ohm resistor can be ignored.

In practical circuits, the short circuit resistance is not zero but small enough to consider it zero for practical use.

Amit Hasan
  • 719
  • 2
  • 9
  • 17