I'm trying to figure out how much silver is theoretically needed per kWh for a silver-zinc battery.
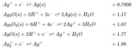
From this data page, I gathered the following:
But I don't know which of those equations are used in primary and secondary silver batteries. And I don't know how to plug in the electropotential number into some equation to figure out how much silver can hold how many joules or kWh of energy storage.
BTW I did see this question and someone's recommendation to put it on Chemistry.SE, but I clicked that link and found it removed/migrated from there. So that is why I post it here.
