I’m currently getting ready for an Electronic Systems Engineering exam, and going through past paper questions.
I need help with a few questions regarding the following current limited regulator.
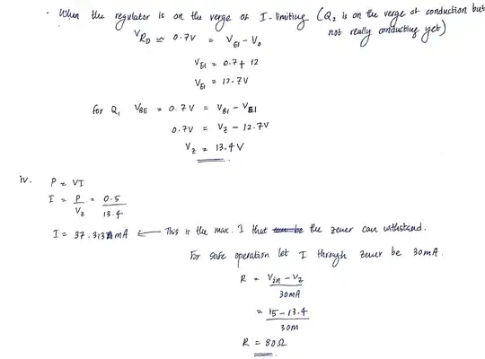
The questions:
- Find the zener voltage of Dz if the required regulated output is 12V.
- Calculate the value of R for safe operation if the input voltage is 15V and the power rating of Dz is 0.5W.
My questions to you:
- Have I approached the first question correctly? Can you please confirm my answer?
- In the second question: what is a “safe” current for the zener? Of course it should be less than the maximum current found from its power rating. But how much less? (I just randomly assumed 30mA)

