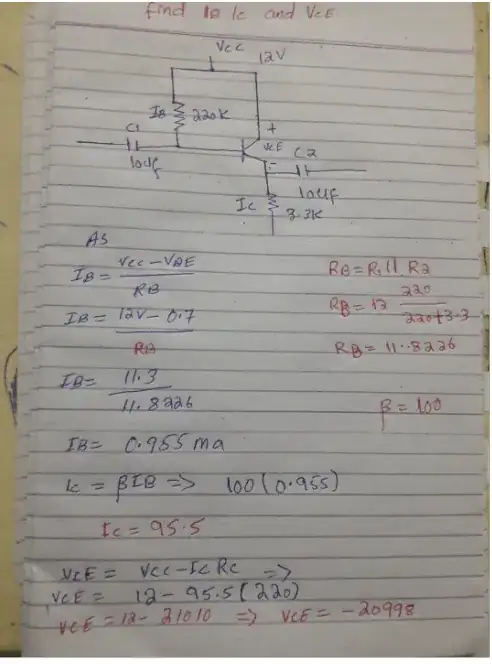
I'm asked to find IB, IC and VCE.

This is my answer:
I wonder if my answer is true are not. VCE Value is negative, is this true or not?
I'm asked to find IB, IC and VCE.

This is my answer:
I wonder if my answer is true are not. VCE Value is negative, is this true or not?
If I read your notes correctly out of 12V supply you got Vce of about 21KV? Looking at Ib assuming you get about 1mA and you multiply by beta of 100 therfore you get 100mA not 100A.Please check how you calculated Ib again.
To answer your question Vce in this circuit cannot be negative with 12V supply at collector and ground at emitter resistor.