My Work
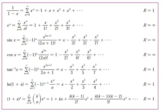
I felt the best way to go about this problem was to compare it to a well known MacLaurin series. I noticed it resembled the reciprocal of the absolute value of the MacLaurin series of $\ln(1+x)$ where $x = \dfrac12$ but I had the problem of the $n$ in the numerator still. None of the well known series have an $n$ in the numerator.
The Well Known MacLaurin Series

My Question
Can someone give me a hint as to which well known MacLaurin series this resembles? Once I have that I know the solution!