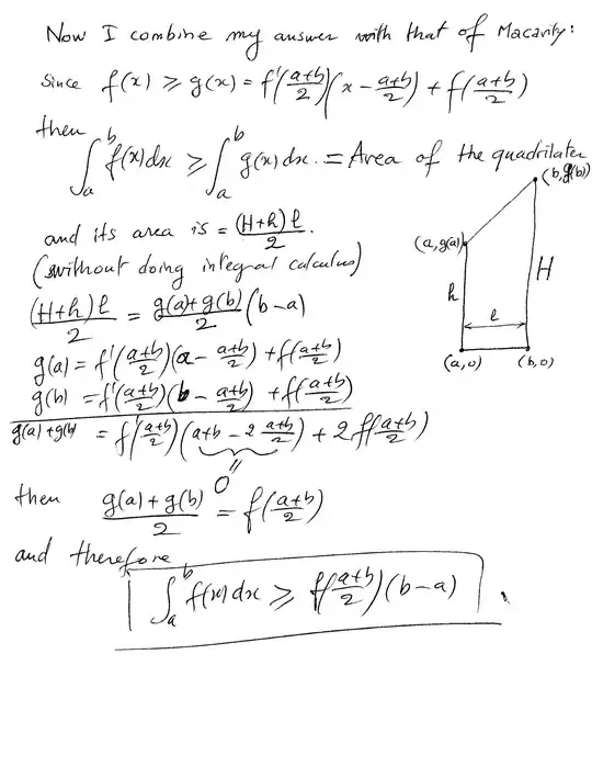
Let $f$ be continuously differentiable on $[a,b]$. If $f$ is concave up, prove that
$$(b-a)\cdot f\left(\frac{a+b}{2}\right)\le \int_{a}^{b}f(x)dx.$$
I know that (and have proved) $$(b-a)\cdot f\left(\frac{a+b}{2}\right)= \int_{a}^{b}f(x)dx$$ for any linear function on $[a,b]$. Also, the graph of $f$ lies above the tangent line at $(\frac{a+b}{2},f(\frac{a+b}{2}))$.

