I'm convinced that
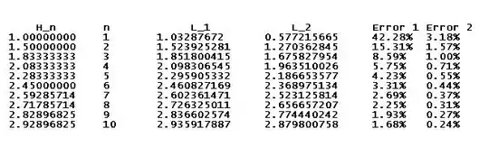
$$H_n \approx\log(n+\gamma) +\gamma$$ is a better approximation of the $n$-th harmonic number than the classical $$H_n \approx \log(n) +\gamma$$ Specially for small values of $n$. I leave some values and the error:

Just to make things clearer, I calculate the value between two numbers as follows. Say $n$ is the optimal and $a$ is the apporximation, then $E = \frac{n-a}{n}$. $L_1$ stands for my approximation and $L_2$ for the classical one, and the errors $E_2$ and $E_1$ correspond to each of those (I mixed up the numbers).
It is clear that this gives an over estimate but tends to the real value for larger $n$.
So, is there a way to prove that the approximation is better?
NOTE: I tried using the \begin{tabular} environment but nothing seemed to work. Any links on table making in this site?
\begin{array}or\begin{matrix}. It might be somewhat slow. – Dylan Moreland Feb 03 '12 at 03:14