I'm trying to figure Taylor series for $\sqrt{x}$. Unfortunately all web pages and books show examples for $\sqrt{x+1}$. Is there any particular reason no one shows Taylor series for exactly $\sqrt{x}$?
-
20The Taylor series is only defined for smooth functions. The function $x \mapsto \sqrt{x}$ is not differentiable at $x=0$. (Also, it is not defined for $x<0$.) – copper.hat Jan 16 '15 at 06:17
-
@copper.hat pitty! I really wanted to compare how similar the following expectations are $E[XY] = E[\sqrt{X^2 + Y^2}]$ for centered r.v.s with variance 1. So perhaps I was hoping in the range -1,1 $XY \sim \sqrt{X^2 + Y^2}$. – Charlie Parker Oct 11 '21 at 20:34
8 Answers
Short answer: The Taylor series of $\sqrt x$ at $x_0 = 0$ does not exist because $\sqrt x$ is not differentiable at $0$. For any $x_0 > 0$, the Taylor series of $\sqrt x$ at $x_0$ can be computed using the Taylor series of $\sqrt{1 + u}$ at $u_0 = 0$.
Long answer: The Taylor series of a function $f$ that is infinitely differentiable at a point $x_0$ is defined as
$$ \sum_{n=0}^\infty \frac{f^{(n)}(x_0)}{n!}(x-x_0)^n = f(x_0) + \frac{f'(x_0)}{1!}(x-x_0) + \frac{f''(x_0)}{2!}(x-x_0)^2 + \ldots \quad . $$ Therefore:
- Asking for "the Taylor series of $f$" makes only sense if you specify the point $x_0$. (Often this point is implicitly assumed as $x_0 = 0$, in this case it is also called the Maclaurin series of $f$.)
- The Taylor series of $f$ at $x_0$ is only defined if $f$ is infinitely differentiable at $x_0$. (But the Taylor series need not be convergent for any $x \ne x_0$, and even if it converges in a neighborhood of $x_0$, the limit can be different from the given function $f$.)
Each Taylor series is a power series $ \sum_{n=0}^\infty a_n (x-x_0)^n $ and the connection is roughly the following: If there exists a power series such that $$ f(x) = \sum_{n=0}^\infty a_n (x-x_0)^n \text{ in a neighborhood of $x_0$} $$ then
- $f$ is infinitely differentiable at $x_0$, and
- $a_n = {f^{(n)}(x_0)}/{n!}$ for all $n$, i.e. the power series is exactly the Taylor series.
Now applying that to your question: You are asking for the Taylor series of $f(x) = \sqrt{ x}$. If you meant the Taylor series at $x_0 = 0$: It is not defined because $\sqrt {x}$ is not differentiable at $x_0 = 0$. For the same reason, there is no power series which converges to $f$ in a neighborhood of $0$.
But $f(x) = \sqrt{ x}$ can be developed into a Taylor series at any $x_0 > 0$. The general formula is given in Mhenni Benghorbal's answer. The reason that often only the Taylor series for $\sqrt{1 + x}$ is given in the books is that – for the square-root function – the general case can easily be reduced to the special case: $$ \sqrt {\mathstrut x} = \sqrt {\mathstrut x_0 + x - x_0} = \sqrt {\mathstrut x_0}\sqrt {1 + \frac {\mathstrut x-x_0}{x_0}} $$ and now you can use the Taylor series of $\sqrt{1+u}$ at $u_0 = 0$.
The same "trick" would work for functions like $g(x) = x^\alpha$ because $g(x) = g(x_0) \cdot g(1 + \frac {x-x_0}{x_0})$
-
1I wonder if I can use this "trick" for any function that is not differentiable at $x_0 = 0$? I could always find Taylor series for f(x+1), and then substitute $u = x+1$ to get back to original function f(x). – bodacydo Jan 17 '15 at 07:30
-
1@bodacydo: No. Here we have used $f(x) = f(x_0) \cdot f(1 + \frac {x-x_0}{x_0})$ and that is not generally true for arbitrary functions. It also does not help to find the Taylor series of $f(x)$ at $x_0 = 0$ because using this would correspond to the Taylor series of $f(1 + u)$ at $u_0 = -1$ which does not exist. – Martin R Jan 17 '15 at 08:26
-
pitty! I really wanted to compare how similar the following expectations are $E[XY] = E[\sqrt{X^2 + Y^2}]$ for centered r.v.s with variance 1. So perhaps I was hoping in the range -1,1 $XY \sim \sqrt{X^2 + Y^2}$. – Charlie Parker Oct 11 '21 at 20:33
I assume you are talking about the Taylor series at $0$ for $\sqrt{x}$. Let's try to compute the Taylor series at $0$: $$ f(x)=f(0)+f'(0)(x-0)+f''(0)\frac{(x-0)^2}2+\dots $$ $f(0)=0$, but $f'(x)=\frac1{2\sqrt{x}}$ blows up at $x=0$. Since $\sqrt{x}$ doesn't have a first derivative at $0$, it doesn't have a Taylor series there.
- 345,667
-
pitty! I really wanted to compare how similar the following expectations are $E[XY] = E[\sqrt{X^2 + Y^2}]$ for centered r.v.s with variance 1. So perhaps I was hoping in the range -1,1 $XY \sim \sqrt{X^2 + Y^2}$. – Charlie Parker Oct 11 '21 at 20:33
Note: Strictly speaking, what is proved below is that $\sqrt{x}$ cannot have an asymptotic expansion of the form $a_0 + a_1 x + o(x)$ as $x \to 0$.
There is no Taylor series for it at $0$. If there were, it would be $$\sqrt{x} = a_0 + a_1 x + a_2 x^2 + \dots.$$
Obviously, $a_0$ would have to be $0$, but $\sqrt{x}$ is much larger as $x \to 0$ than any expansion starting with $a_1 x$. For example, we'd have $$\frac{1}{\sqrt{x}} = \frac{\sqrt{x}}{x} = a_1 + a_2 x + \dots \rightarrow a_1,$$ as $x \to 0$, but $\frac{1}{\sqrt{x}}$ doesn't have a finite limit as $x \to 0$.
On the other hand, it's easy to obtain the Taylor expansion for $\sqrt{x}$ at $a > 0$ from the one for $\sqrt{1 + x}$ at $0$. Setting $h = x - a$, you have $$\sqrt{x} = \sqrt{a + h} = \sqrt{a}\sqrt{1 + h/a},$$ and then you expand $\sqrt{1 + h/a}$ in powers of $h/a$.
- 1,465
-
Strictly speaking, the definition of a Taylor series does not require that it converges to the given function or converges at all. – Martin R Jan 16 '15 at 08:09
-
In all honesty, I'm not really viewing it as a convergent series, but rather as an asymptotic expansion in powers of $x$. I concede that I used what is perhaps misleading notation (as a series), because the question seemed to be asking for intuition on the question. Despite the technical inaccuracy, the answer makes the essential point. Strictly speaking, what I have shown is that $\sqrt{x}$ doesn't have an asymptotic expansion of the form $a_0 + a_1 x + o(x)$ as $x \to 0$. – user208259 Jan 16 '15 at 09:36
-
pitty! I really wanted to compare how similar the following expectations are $E[XY] = E[\sqrt{X^2 + Y^2}]$ for centered r.v.s with variance 1. So perhaps I was hoping in the range -1,1 $XY \sim \sqrt{X^2 + Y^2}$. – Charlie Parker Oct 11 '21 at 20:34
The answer is correct.
Note that you can find Taylor series of $\sqrt{x} $ at a point $a>0$ as
$$ \sqrt{x} = \sum _{n=0}^{\infty }\frac{\sqrt {\pi }}{2}\,{\frac {{a}^{\frac{1}{2}-n} \left( x-a\right)^{n}}{\Gamma\left( \frac{3}{2}-n \right)n! }}.$$
See my answer.
- 47,431
-
-
-
pitty! I really wanted to compare how similar the following expectations are $E[XY] = E[\sqrt{X^2 + Y^2}]$ for centered r.v.s with variance 1. So perhaps I was hoping in the range -1,1 $XY \sim \sqrt{X^2 + Y^2}$. – Charlie Parker Oct 11 '21 at 20:34
if $$ \sqrt{x}=a_0+a_1x+a_2x^2+\dots $$ then $$ x=a_0^2+(a_0a_1+a_1a_0)x+(a_0a_2+a_1a_1+a_2a_0)x^2+\dots $$ and if you want the identity theorem to hold this is impossible because $a_0=0$ would imply that the coeff of $x$ is zero
- 5,374
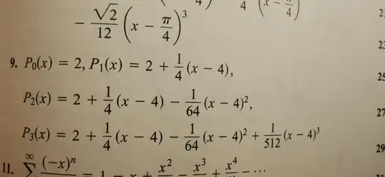
Well, I know this is an old answered post, but referring to the question that all web pages and books doesn't show examples for $\sqrt{x}$, on book, Thomas' Calculus Twelfth Edition on exercises of section 10.8, problem 9 the question is: find the Taylor polynomial of order 0,1,2, and 3 generated by $f$ at $a$ and the exercises are the following

And the book also gives the answers, those are the following

I've posted the images of the book in order to show that at least there's one book with the worked exercise.
Internet is a very resourceful place, but good calculus books are a very good option to find lots of exercises and examples that have been worked by experts.
-
but in your book it is specifically stated that we look at taylor series at $a=4$, which is excluded in the OP's question. And exactly that is the problem. So I agree that calculus books are a good source for studying, but the above would not help the OP in a sense that he/she gains more insight in the matter. – Mathbeginner Jan 24 '21 at 10:05
-
Agree, but I was looking to give a more literal answer to the question asked by OP, showing that in fact there is one resource that has an example and not only examples for $\sqrt{x+1}$ are given. On the other hand, to give more insight, we could state: you could find the Taylor series generated by $f(x) = \sqrt{x}$ at $x=a$ as long as $a>0$. But that was the answer given by @Martin R ^_^ – Ricardo Hernandez-Tablas Jan 25 '21 at 16:46
As in the other answers, $f:\mathbb{R}^+\bigcup\{0\}\to\mathbb{R}^+\bigcup\{0\};\,f(x)=\sqrt{x}$ has no derivative at $x=0$, so no Taylor expansion around $x=0$.
It's worth noting, however, that the signularity at $x=0$ is a different kind of singularity from the singularity $g:\mathbb{R}\to\mathbb{R}\{0\};\,g(x)=\frac{1}{x}$ that denies us a Taylor expansion for $g$ at $x=0$. This one is simpler to understand and is called a pole.
But your singularity is called a Branch Point and it is where two "branches" of a multi-valued function are joined in an essential way. Recall that $f_\pm(x)=\pm\sqrt{x}$ are both functions which are partial inverses to $x\mapsto x^2$. They "join" at $x=0$. Functions with branch points involving $n^{th}$ roots like yours can have a well-defined value at their branch points (unlike the pole example, which blows up to $\infty$ as one approaches the pole), but some derivative of the function fails to be defined at the branch point. For example, $x\to x^{\frac{3}{2}}$ is well defined at $x=0$, and also has a well defined derivative $x\to \frac{3}{2}x^{\frac{1}{2}}$ at $x=0$. But the second derivative is undefined there.
- 2,655
Let $u = x+1$. Then just substitute into that other Taylor Series. The reason it is found everywhere is simply because it is easy to calculate.
- 144
-
7
-
@copper.hat Maclaurin series dne. Are you saying Taylor series dne for any $x_0 \in \ \mathbb{R}$ ? – BCLC Jul 12 '15 at 11:19
-
@bclc: No, it doesn't exist for $x_0=0$, it does exist for $x_0>0$. – copper.hat Jul 14 '15 at 00:03
-
-
-