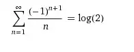
I am trying to calculate the sum of S=(1-1/2 +1/3-1/4+...). I used wolfram Alpha but the answer makes no sense to me.

Thank you in advance.
I am trying to calculate the sum of S=(1-1/2 +1/3-1/4+...). I used wolfram Alpha but the answer makes no sense to me.

Thank you in advance.