I have been trying to find out how the summation is deduced via inspection. However, it is to no avail.

Could anyone show me a way to quickly deduce this form? Thanks.
I have been trying to find out how the summation is deduced via inspection. However, it is to no avail.

Could anyone show me a way to quickly deduce this form? Thanks.
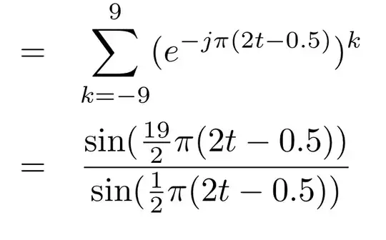
Let $x=\pi ( 2t-0.5 )$
then $\displaystyle \sum_{k=-9}^{9} e^{-ikx} = e^{9ix} \sum_{k=0}^{18} e^{-ikx} $
Now use the formula for the sum of a geometric series ...
$\displaystyle = e^{9ix} \frac{e^{- 19 i x} -1}{e^{ - i x} -1} $
which simplifies to
$\displaystyle = \frac{e^{-10 i x} - e^{9ix}}{e^{ i x} -1}$
$\displaystyle = \frac{ e^{-ix/2} ( e^{-(19/2) i x} - e^{(19/2)ix} ) }{ e^{-i x/2}( e^{ -i x/2} -e^{ i x/2} ) } $
$\displaystyle = \frac{ e^{-(19/2) i x} - e^{(19/2)ix} }{ e^{ -i x/2} -e^{ i x/2} } = \frac{sin(\frac{19x}{2}) }{sin(\frac{x}{2}) }$