
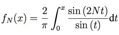
I am just a beginner in Fourier series.How should I get start to tackle this question and show the partial sum has extrema? I have no clue to this question. Any help would be highly appreciated.

I am just a beginner in Fourier series.How should I get start to tackle this question and show the partial sum has extrema? I have no clue to this question. Any help would be highly appreciated.
If square waves are square integrable, why doesn't fourier expanding work?
The answer on this question is very similar, the overshoot is twice that! I had the same question and someone answered me. Hope this helps