I am trying to get my head around the proof of the following:
Suppose K is a finite field. With $p=charK, |K|=p^r$ where r is a positive integer.
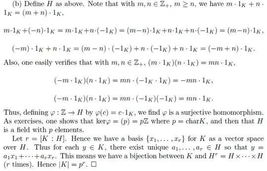
I am supplied with the following proof:

I do not understand how this proves what we are required to prove and I;m not satisfied with the last paragraph, can anyone offer some explanation?