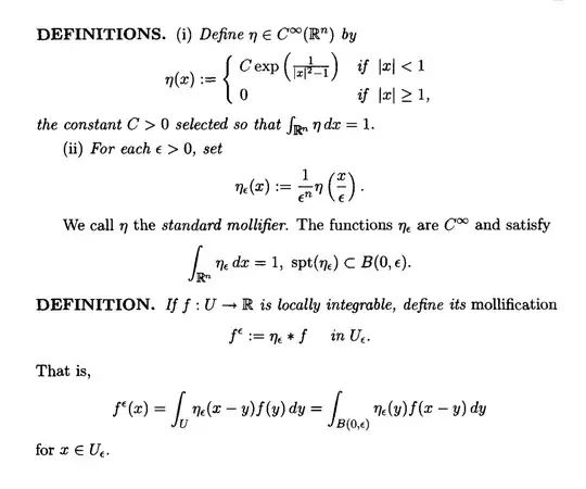
Hi I am looking at the definition of standard mollifier $\eta$ in Evans,

and the $\eta$ from wiki
Have a very basic question, is the $\eta$ in Evans also compactly supported? i.e. $\eta\in C_c^{\infty}$?
Hi I am looking at the definition of standard mollifier $\eta$ in Evans,

and the $\eta$ from wiki
Have a very basic question, is the $\eta$ in Evans also compactly supported? i.e. $\eta\in C_c^{\infty}$?
Just look at the definition: since $\eta(x)=0$ for all $x \in \mathbb{R}^N$ with $|x| \geq 1$, it follows that $\operatorname{supp}\eta \subset \overline{B(0,1)}$. Hence $\eta \in C^\infty_c(\mathbb{R}^N)$.