The problem with yours approach is that Taylor series don't approximate your function uniformly well over the whole domain $[0, \pi]$, i.e. you need different approximations on the different parts of the inverse function domain.
First, I would renorm your function to exploit symmetry
$$
F(x) = \frac{f\left(\frac{\pi(x+1)}{2}\right) - f(\pi/2)}{f(\pi) - f(\pi/2)} = \frac{6 \pi x+8 \sin (\pi x)+\sin (2 \pi x)}{6 \pi }
$$
This function maps $[-1, 1]$ to $[-1, 1]$ and is odd. Since it it odd, we can build inverse only for $F(x)$ mapping $[0, 1]$ to $[0, 1]$.
The function $F(x)$ is almost constant near $x = 1$. Precisely,
$$
F(x) = 1+\frac{1}{30} \pi ^4 (x-1)^5-\frac{1}{252} \pi ^6 (x-1)^7+\frac{\pi ^8
(x-1)^9}{4320}+O\left((x-1)^{11}\right)
$$
Truncating the series and solving a 9th degree polynomial may become a challenging problem, so let's try to match those terms with some simple invertible function, like
$$
G(x) = 1 - \alpha \sin^5 (\beta \sin (\gamma(1 - x))),\\
G^{-1}(y) = 1 - \frac{1}{\gamma}\arcsin\left[\frac{1}{\beta}\arcsin\sqrt[5]{\frac{1 - y}{\alpha}}\right].
$$
Comparing the Taylor series for $F$ and $G$ around $x = 1$ one obtains
a system of equations for $\alpha, \beta, \gamma$
$$
30\alpha \beta ^5 \gamma ^5 = \pi ^4\\
210 \alpha \beta ^7 \gamma ^7+210 \alpha\beta ^5 \gamma ^7=\pi ^6\\
1380 \alpha \beta ^9 \gamma ^9+4200 \alpha \beta ^7 \gamma ^9+1380 \alpha \beta ^5 \gamma ^9 = \pi ^8
$$
Wolfram Mathematica seem to have no problem with solving that, resulting in two solutions ($\alpha \approx 1184.38, \beta \approx 0.2679, \gamma \approx 1.147$ and $\alpha \approx 1.6358, \beta \approx 3.732, \gamma \approx 0.3073$), I suggest using the second
$$
\alpha = \frac{784 \sqrt{7}}{15 \left(2+\sqrt{3}\right)^{5/2} \pi }, \quad
\beta = 2+\sqrt{3}, \quad
\gamma = \frac{\pi }{2 \sqrt{7 \left(2+\sqrt{3}\right)}}
$$
The graphs look very close, but that might be misleading, since $F'(x) \approx 0$ when $x > 1/2$.

This approximation gives a $|G^{-1}(y) - F^{-1}(y)| < 0.000697727 < 10^{-3}$ solution when $y \in [0.5, 1]$
Let's perform similar approximation for $y \in [0, 0.5]$.
$$
H(x) = \alpha \sin(\beta \sin (\gamma x))\\
H^{-1}(y) = \frac{1}{\gamma} \arcsin \left[\frac{1}{\beta} \arcsin \frac{y}{\alpha}\right]
$$
Comparing Taylor series up to $O(x^7)$ gives a system of equations for $\alpha, \beta, \gamma$
$$
\alpha = \frac{16}{3\pi}, \quad
\beta = \frac{1}{\sqrt{3}}, \quad
\gamma = \frac{\sqrt{3}\pi}{2}.
$$
This approximation to $F^{-1}(y)$ achieves accuracy of $0.0000176652$ when applied on $y \in [0, 0.5]$.
Here's the log-plot of the absolute error given by two approximations (blue - $10^{-3}$, orange - $|F^{-1}(y) - G^{-1}(y)|$ and green - $|F^{-1}(y) - H^{-1}(y)|$)

It follows that $H^{-1}(y)$ can be used on $[0, 0.6296]$ and $G^{-1}(y)$ on $[0.6296, 1]$ with absolute error not exceeding $\epsilon = 1.36 \cdot 10^{-4}$.
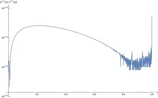
To refine the result in the middle you can use one-two Newton iterations
$$
x_{n+1} = x_n - \frac{F(x_n)-y}{F'(x_n)} = x_n -
\frac{6\pi x_n+8\sin \pi x_n + \sin 2\pi x_n - y}{16\pi\cos^4 \frac{\pi x_n}{2}}
$$
Here's a plot of $|F^{-1}(y) - \tilde G^{-1}(y)|$ where $\tilde G^{-1}(y)$ is computed as $G^{-1}(y)$ with two Newton iterations. The overall accuracy is better than $10^{-10}$:
