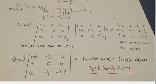
Need some help with determinants involving eigen's.
I understand the steps used in the process below, but I don't understand how my teacher knew that he had to do those steps to get a nice 0 row with a simple determinant. He has done this multiple times in the course and just assumed we know how to do this, and I've never learned it.
Note: I checked around 5 questions with similar titles but none deal with this exactly.
EDIT: Also how come you can add columns?
