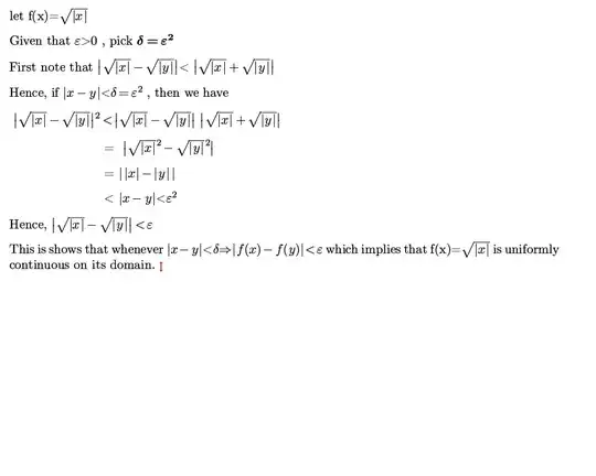
prove the function f(x)= Seq(Abs(x)) is uniformly continuous on its domain
would someone please check my work. Thank you in advance .
Asked
Active
Viewed 190 times
1
Smith Pay
- 183
-
People would be more willing to check your work if it was more readable: see MathJax tutorial. – Nov 24 '15 at 23:56
-
I have posted a picture for what I have done . – Smith Pay Nov 25 '15 at 02:45
1 Answers
2
Inside $[-1,1]$, it is u.c., since it's continuous on a compact set; outside, $f'(x)$ is bounded, so it is also u.c.
TorsionSquid
- 3,530