Does anyone know if this function has a name? I came up with it by looking at the power series for $e^z$, changing the summation to an integral, and substituting the gamma function for the factorial function.
-
5+1 cuz you've got me curious too. Also is x supposed to be real? and if so is there a reason you restricted its domain to the reals? – Set Jun 15 '12 at 05:26
-
I'm not exactly sure for which values of $x$ it's well-defined (real or otherwise). If you plug in $x=1$, it yields an interesting number around $2.27$. Also, it maps $1.149807$ to (very roughly) the value $e$. I'm wondering whether one can invert this function, what its properties are, asymptotic behaviour and so on. In fact I haven't been able to plot this function yet... – mlbaker Jun 15 '12 at 05:33
-
2I just found the following, which is related to its value at 1: http://en.wikipedia.org/wiki/Frans%C3%A9n%E2%80%93Robinson_constant – mlbaker Jun 15 '12 at 06:08
-
3I think it is Ramanujan's formula, i.e.: $$\int\limits_{0}^{\infty}\frac{z^{t} , dt}{\Gamma(1+t)}=e^{z}-\int\limits_{0}^{\infty}\frac{e^{-z\tau}d\tau}{\tau(\ln^2 (\tau)+\pi^{2})},,,, Re(z)\ge{0}$$ – qoqosz Jun 17 '12 at 09:05
-
@qoqosz: Thanks for the comment; could you provide a source? Calling something "Ramanujan's formula" is quite ambiguous, if you know what I mean. – mlbaker Jun 17 '12 at 18:52
-
2@mlbaker I recalled this equation from one of my bookmarks: http://www.artofproblemsolving.com/Forum/viewtopic.php?p=1226810#p1226810 . I also found another source which you may find useful: Erdelyi, A., et al., Higher Transcendental Functions, vol 3. You can find it online at http://apps.nrbook.com/bateman/Vol3.pdf To be more specific look at the page 217 where author introduces your integral and denotes it by $\nu (x)$. It may be a good place to start looking for other references I guess. – qoqosz Jun 17 '12 at 19:21
-
@qoqosz: Thank you very much! – mlbaker Jun 17 '12 at 20:49
-
@qoqosz: Thanks for the links. I didn't know I rediscovered a named formula. – user26872 Jun 18 '12 at 18:45
-
1@mlbaker: This may be a "troll function," as you call it, but it is pretty interesting nonetheless! – user26872 Jun 18 '12 at 18:46
-
This function was recently discussed on mo ... link – user26872 Feb 02 '20 at 21:45
4 Answers
Almost tautological, but we can also find that
$$ f(x) = e^{x} \left( 1 - \int_{0}^{1} \frac{\Gamma(s, x)}{\Gamma(s)} \; ds \right),$$
where $\Gamma(s, x) = \int_{x}^{\infty} t^{s-1}e^{-t} \; dt$ is the incomplete gamma function. Indeed,
$$ f'(x) = \int_{0}^{\infty} \frac{s x^{s-1}}{\Gamma(s+1)} \; ds = \int_{0}^{1} \frac{x^{s-1}}{\Gamma(s)} \; ds + f(x)$$
and thus
$$ (f(x)e^{-x})' = \int_{0}^{1} \frac{x^{s-1}e^{-x}}{\Gamma(s)} \; ds.$$
Then integrating both sides with respect to $x$ gives the desired relation.
Now we try to find its asymptotic formula. Since $\Gamma(s,x) / \Gamma(s) \searrow 0$ as $x \to \infty$, we find
$$f(x) = (1 - o(1))e^{x}$$
asymptotically. To obtain a better approximation, note that $1/\Gamma(s) \asymp s$ near $s = 0$. Thus
$$ \begin{align*} \int_{0}^{1} \frac{\Gamma(s, x)}{\Gamma(s)} \; ds &\asymp \int_{0}^{1} s\Gamma(s, x) \; ds \\ &= \int_{0}^{1} (\Gamma(s+1,x) - x^{s}e^{-x}) \; ds \\ &= \int_{0}^{1} \int_{x}^{\infty} t^{s}e^{-t} \; dt ds - \frac{x-1}{\log x}e^{-x} \\ &= \int_{x}^{\infty} \left( \frac{t-1}{\log t}\right) e^{-t} \; dt - \frac{x-1}{\log x}e^{-x} \\ &= \int_{x}^{\infty} \left( \frac{t-1}{\log t}\right)' e^{-t} \; dt \\ &\asymp \int_{x}^{\infty} \frac{e^{-t}}{\log t} \; dt \\ &\asymp \frac{e^{-x}}{\log x}. \end{align*}$$
In particular, we have
$$f(x) = e^{x} - O\left( \frac{1}{\log x} \right).$$
- 167,468
-
+1. Nice one! I didn't expect one could find a really good asymptotic like this! – Jun 15 '12 at 07:34
Laplace transform
We consider the function for $x\ge 0$. As found by @Mathlover, it is not hard to get the Laplace transform of $f(x)$. Inverting, we find $$f(x) = \frac{1}{2\pi i} \int_\gamma ds\, e^{s x}\frac{1}{s\log s},$$ where $\gamma$ is the Bromwich contour. There is a singularity at $s=1$ and a cut from $s=0\to -\infty$. We deform the contour in the usual way and simplify, with the result $$\begin{eqnarray*} f(x) &=& e^x - \int_0^\infty d\rho\, \frac{e^{-\rho x}}{\rho(\log^2\rho + \pi^2)} \\ &=& e^x - \int_{-\infty}^\infty d\sigma\, \frac{e^{-x e^\sigma}}{\sigma^2 + \pi^2}. \end{eqnarray*}$$ It is possible to go further with the last integral, but we'll stop here.
Addendum: Series
Let's examine the series for $f(x)$. Define $$\begin{eqnarray*} \Delta(x) &=& \int_0^\infty d\sigma\, \frac{e^{-x e^\sigma} + e^{-x e^{-\sigma}}}{\sigma^2 + \pi^2} \end{eqnarray*}$$ Note that $f(x) = e^x - \Delta(x)$. We have $e^{-x e^\sigma} + e^{-x e^{-\sigma}} \le e^{-x}+1$, and $\int_0^\infty d\sigma\, \frac{1}{\sigma^2+\pi^2}$ converges, so $\Delta(x)$ converges uniformly.
Clearly the derivative of $\Delta(x)$ doesn't exist at $x=0$ (the integral $\int_0^\infty d\sigma\,\frac{\cosh \sigma}{\sigma^2+\pi^2}$ diverges) so there is no Maclaurin series for $f(x)$. We can do a Taylor series about any $x>0$. Of course, we must evaluate integrals of the form $$\left.\frac{d^k}{d x^k} \Delta(x)\right|_{x=x_0} = (-1)^k \int_0^\infty d\sigma\, \frac{e^{k\sigma -x_0 e^\sigma} + e^{-k\sigma -x_0 e^{-\sigma}}}{\sigma^2 + \pi^2}.$$ These integrals are uniformly convergent for $x_0 >0$. In this regard it is useful to notice that $e^{-k\sigma -x_0 e^{-\sigma}} \le 1$ and $$e^{k\sigma -x_0 e^\sigma} \le \begin{cases} e^{-x_0}, & x_0 \ge k \\ \left(\frac{k}{x_0 e}\right)^k, & \mathrm{else}. \end{cases}$$ For large $x_0$ the dominant terms in the expansion come from the series for $e^x$, as expected.
Trapezoidal rule
Approximate the integral by a sum. Let the step size be $1/m$, where $m=1,2,\ldots$, and let $g_k = \frac{x^{k/m}}{\Gamma(k/m+1)}$. Then, $$\begin{eqnarray*} \int_0^\infty dt\, \frac{x^t}{\Gamma(t+1)} &\simeq& \lim_{n\to\infty} \left( \frac{1}{m}\sum_{k=0}^n g_k -\frac{1}{2m}(g_0+g_n) \right)\\ &=& \frac{1}{m}E_{1/m}(x^{1/m}) -\frac{1}{2m} \\ &=& \frac{1}{m} e^x\left(1+\sum_{k=1}^{m-1}\frac{\gamma(1-k/m,x)}{\Gamma(1-k/m)}\right) - \frac{1}{2m}, \end{eqnarray*}$$ where $E_\alpha(z)$ is the Mittag-Leffler function and $\gamma$ is the lower incomplete gamma function. (The relation for $E_{1/m}(x^{1/m})$ used above can be found in this paper.)
In the limit $m\to\infty$ the sum is equal to the original integral, so $$\begin{eqnarray*} f(x) &=& e^x \lim_{m\to\infty} \frac{1}{m} \sum_{k=1}^{m-1}\frac{\gamma(1-k/m,x)}{\Gamma(1-k/m)} \\ &=& e^x \int_0^1 ds\,\frac{\gamma(s,x)}{\Gamma(s)} \end{eqnarray*}$$ This is the integral formula found by @sos440 using another method.
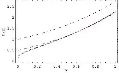
Here are the sums for $m=1$ and $2$. $$\begin{array}{ll} m & f(x) \\ \hline 1 & e^x - 1/2 \\ 2 & \frac{1}{2}e^x \left(\mathrm{erf}\left(\sqrt{x}\right) + 1\right) -\frac{1}{4} \end{array}$$ Since $f(x) \simeq e^x-1/2$, $f^{-1}(x)\simeq \log(x+1/2)$.
Below we plot $f(x)$ (solid), $e^x$ (dashed, black), and the approximations for $m=1$ (dashed, red), and $m=2$ (dashed, blue).


- 19,465
This is a bit too long for a comment.
I don't think the function has any specific name. One plausible reason why this function doesn't have its own name is probably because it's growth is very closely related to $\exp(x)$ as expected. A very rough analysis as shown below gives some growth of this function with respect to $x$. The argument can be improved to get better growth rates of the function.
If we let $n = \lfloor t \rfloor$, then $$(n+1)! = \Gamma(n+2) \geq \Gamma(t+1) \geq \Gamma(n+1) = n!$$ Hence for $t \in [n,n+1)$, assuming $x>0$, $$\dfrac{x^t}{(n+1)!} \leq \dfrac{x^{t}}{\Gamma(t+1)} \leq \dfrac{x^t}{n!}$$ Now $$\int_0^{\infty} \dfrac{x^t}{\Gamma(t+1)} dt = \sum_{n=0}^{\infty} \int_n^{n+1} \dfrac{x^t}{\Gamma(t+1)} dt$$ Hence, $$\sum_{n=0}^{\infty} \int_n^{n+1} \dfrac{x^t}{(n+1)!} dt \leq \int_0^{\infty} \dfrac{x^t}{\Gamma(t+1)} dt \leq \sum_{n=0}^{\infty} \int_n^{n+1} \dfrac{x^t}{n!} dt$$ $$\sum_{n=0}^{\infty} \dfrac{x^{n+1}-x^n}{(n+1)! \log(x)} \leq \int_0^{\infty} \dfrac{x^t}{\Gamma(t+1)} dt \leq \sum_{n=0}^{\infty} \dfrac{x^{n+1}-x^n}{n! \log(x)}$$ $$\dfrac{(x-1)}{\log(x)} \left(\sum_{n=0}^{\infty} \dfrac{x^n}{(n+1)!} \right) \leq \int_0^{\infty} \dfrac{x^t}{\Gamma(t+1)} dt \leq \dfrac{(x-1)}{\log(x)} \left(\sum_{n=0}^{\infty} \dfrac{x^n}{n!} \right)$$ $$\dfrac{(x-1)}{\log(x)} \dfrac{\exp(x)-1}{x} \leq \int_0^{\infty} \dfrac{x^t}{\Gamma(t+1)} dt \leq \dfrac{(x-1)}{\log(x)} \exp(x)$$
$$f(x) = \int_0^\infty \frac{x^t}{\Gamma(t+1)} \, dt$$
I have noticed that we can find Laplace transform of this function in closed form. You can define the function as inverse Laplace Transform in closed form.
$$ {\mathcal L}\left\{ {x^t} \right\}(s)=\int_0^\infty x^t e^{-sx} \, dx=\frac{\Gamma(t+1)}{s^{t+1}}$$
$$ {\mathcal L}\left\{ {f(x)} \right\}(s)=\int_0^\infty \frac{1}{\Gamma(t+1)}\int_0^\infty x^t e^{-sx} \, dx \, dt=\int_0^\infty \frac{1}{s^{t+1}} \, dt=\frac{1}{s}\int_0^\infty s^{-t} \, dt=\frac{1}{s\ln{s}}$$
UPDATE: I am trying to find a method to define the function as series as well . I am going to post if I find a way in series methods.
My starting point for series methods:.
$$ {\mathcal L}\left\{ {f(x)e^{-x}} \right\}(s)=\frac{1}{(s+1)\ln{(s+1)}}$$
- 10,058