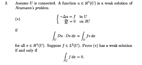
In picture below, I have proved that if $f\in L^2(U)$ , (*) has unique weak solution. I use the Lax Milgran to prove it. I think some conditions are redundant.
Asked
Active
Viewed 1,075 times
0
-
I edited the title to make it more informative. But I couldn't do the same with the question, because my attempt to read your mind was unsuccessful. What conditions do you think are redundant, and why? – Jan 05 '16 at 02:26
-
@Normal I think the last one and last second equations are not needed. Because this Neumann's problem always has weak solution. Only need $f\in L^2(U)$ – Enhao Lan Jan 05 '16 at 03:08
-
If you drop $\partial u/\partial \nu=0$... what is the "Neumann problem" here? Besides, this condition is a part of (*); if your function $u$ does not satisfy it, it doesn't solve the problem. – Jan 05 '16 at 03:12
-
@Normal I mean $\int_UDu\cdot Dv dx=...$ and $\int_U f dx=0$. Not any of (*) – Enhao Lan Jan 05 '16 at 03:15
-
Also, the second to last equation is part of the definition of a weak solution to $(*)$. – charlestoncrabb Jan 05 '16 at 05:23
-
P.S., I know the solution to this problem has been previously posted on MSE, but I can't seem to find it right now. – charlestoncrabb Jan 05 '16 at 05:29
-
@charlestoncrabb found and linked to in my answer. – Jan 05 '16 at 06:43
1 Answers
2
No, there are no redundant conditions here.
The equation $\int_U Du\cdot Dv = \int_U fv$ is not a new condition: it is the definition of what it means for $u$ to be a weak solution of $-\Delta u = f$. In other words, it replaces $-\Delta u=f$, which does not hold literally since $u$ need not be twice differentiable.
If $\int_U f\ne 0$, then there is no solution. Just put $v\equiv 1$ in the definition of the weak solution, above, and $0=\int_U f$ follows.
By the way, the weak solution is not unique. There are infinitely many, since one can add a constant without affecting the Neumann condition.
And if you are interested in the actual solution, see Weak solutions to the Neumann's problem (Evans PDE)
