Having just learned about $i$ in my 10$^{th}$ grade classroom I'm interested in the proofs underlying the rules for algebraic manipulations with imaginary numbers; such an understanding will create a greater appreciation for these foundations mathematics.
Without given a reason, we were told that $\sqrt{-a}*\sqrt{-b}\neq\sqrt{ab},\text{ where }a,b\in \mathbb{R}$.
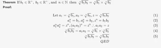
I've proved on my own (I don't know if my attempt is correct and recognize how relatively rudimentary it is, though I'm just starting out) that

I need to prove $\sqrt{-a}*\sqrt{-b}\neq\sqrt{ab},\text{ where }a,b\in \mathbb{R}$. So I begin by assuming the proof holds true for all $b_1,b_2\in \mathbb{R}$ and not just $\mathbb{R}^{-}$ and try to prove by way of contradiction that this won't work. But from what I see, it does work. So where am I going wrong?
Maybe it's that once imaginary numbers exist this system falls apart because $\sqrt{-1}\times\sqrt{-1}=-1$ so you perform some sort of pattern matching?
Obviously $-1$ is some special case.
I'm just not clear on how to resolve this. Some clarity would be much appreciated.