I'm taking Discrete Structures now and I can't seem to get comfortable with proof by induction. I understand the concept, and the general procedure...but it all just seems like random algebra manipulation and playing around until you get what you want. There are no specific "rules" or guidelines to follow or trends to notice that I am aware of. And if these do exist, please tell me!
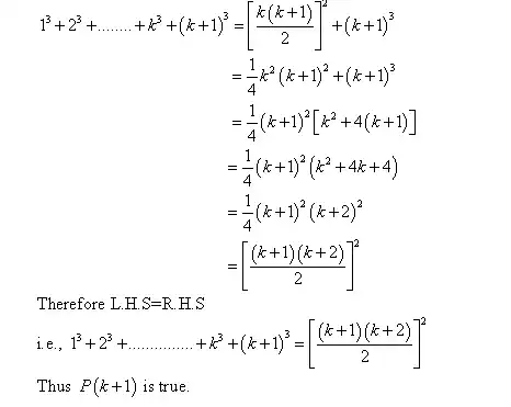
For example: Let $P(n)$ be the statement that $$\forall n\in\Bbb{N}:\ 1^3+2^3+···+n^3=\left(\frac{n(n+1)}{2}\right)^{2}$$
Here is the proof for it. How am I supposed to figure out if the algebraic manipulation I'm attempting is even going to lead me in the right direction? Base case and inductive hypothesis:
Proof:

