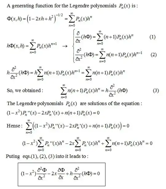
The Generating function for Legendre Polynomials is:
$$\Phi(x,h)=(1-2xh+h^2)^{-1/2}\quad\text{for}\quad \mid{h}\,\mid\,\lt 1\tag{1}$$
and Legendres' Differential equation is $$\begin{align*}
(1-x^2)y^{\prime\prime}-2xy^{\prime}+l(l+1)y=0\tag{2}
\end{align*}$$
The question in my text asks me to:
Verify the identity $$\color{blue}{\left(1-x^2\right)\frac{\partial^2 \Phi}{\partial x^2}-2x\frac{\partial\Phi}{\partial x}+h\frac{\partial^2}{\partial h^2}\left(h\Phi \right)=0}\tag{A}$$ by straightforward differentiation of $(1)$ and some algebra.
End of question.
My attempt:
I started by taking partial derivatives of $(1)$ first with respect to $x$ then with respect to $h$: $$\color{#180}{\frac{\partial \Phi}{\partial x}}=-\frac12 \left(1-2xh +h^2 \right)^{-3/2}\cdot(-2h)=\color{red}{h\Phi^3}$$
$$\color{#180}{\frac{\partial^2 \Phi}{\partial x^2}}=-\frac32 h\left(1-2xh+h^2\right)^{-5/2}\cdot (-2h)=\color{red}{3h^2\Phi^5}$$
$$\color{#180}{\frac{\partial \Phi}{\partial h}}=-\frac12 \left(1-2xh +h^2 \right)^{-3/2}\cdot(2h-2x)=\color{red}{(x-h)\Phi^3}$$
$$\begin{align}\color{#180}{\frac{\partial^2 \Phi}{\partial h^2}} & = -\frac32 \left(1-2xh+h^2\right)^{-5/2}\cdot (2h-2x)\cdot(x-h)-\left(1-2xh +h^2 \right)^{-3/2}\\ & =3\left(1-2xh+h^2\right)^{-5/2}\cdot(x-h)^2-\left(1-2xh +h^2 \right)^{-3/2}\\&=3\Phi^5(x-h)^2-\Phi^3\\&=\color{red}{\Phi^3\Big(3\Phi^2(x-h)^2-1\Big)}\end{align}$$
I can see the similarity between $(\mathrm{A})$ and $(2)$; but I am confused how to obtain $(\mathrm{A})$.
Could someone please help me reach equation $(\mathrm{A})$?
EDIT:
Now that the question has been answered a special thanks goes to @Semiclassical for the helpful comment and @enthdegree for explaining to me that $$\begin{array}{rcl}\frac{\partial^2}{\partial h^2} h \Phi &=& \frac{\partial}{\partial h} ( \frac{\partial}{\partial h} h \Phi) \\ &=& \frac{\partial}{\partial h} \left( \Phi + h \frac{\partial}{\partial h} \Phi \right) \\ &=& \frac{\partial}{\partial h} \Phi + \frac{\partial}{\partial h} \Phi + h\frac{\partial^2}{\partial h^2} \Phi \end{array}$$ I would also like to thank @JJacquelin and especially @Markus Scheuer for giving such a well constructed argument. All the answers given were great; but since I could only accept one answer I think Markus gave the most intuitive answer so the answer credit goes to him. In any case I have up-voted all your answers :)
Much to my shame I should have known better that substitution of the $\color{#180}{\mathrm{green}}$ terms into $(\mathrm{A})$ was all that was required to verify the identity $(\mathrm{A})$. Instead of verifying it seems I was trying to derive $(\mathrm{A})$ by noting the striking similarity between $${\left(1-x^2\right)\frac{\partial^2 \Phi}{\partial x^2}-2x\frac{\partial\Phi}{\partial x}+h\frac{\partial^2}{\partial h^2}\left(h\Phi \right)=0}\tag{A}$$ and $$\begin{align*} (1-x^2)y^{\prime\prime}-2xy^{\prime}+l(l+1)y=0\tag{2} \end{align*}$$
