I have just started reading about the Airy functions and am stuck on a particular step of their derivation. But first here is some background information to give this question some meaning, more information can be found from a previous question of mine:
The general solution to Bessel's differential equation: $$\fbox{$y^{\prime\prime}+\left(\frac{1-2a}{x}\right)y^{\prime}+\left[\left(bcx^{c-1}\right)^2+\frac{a^2-p^2c^2}{x^2}\right]y=0$}\tag{1}$$ is $$\fbox{$y=x^aZ_p\left(bx^c\right)$}\tag{2}$$ where $Z_p$ stands for $J_p$ or $N_p$ or any linear combination of them, and $a,b,c,p$ are constants. $J_p$ is called the Bessel function of the first kind of order $p$ and $N_p$ is any combination of $J_p$ and $J_{−p}$: $$N_p(x)=\frac{\cos(\pi p)J_p(x)-J_{-p}(x)}{\sin(\pi p)}\tag{3}$$ So equation $(2)$ can be written as $$y=x^{a}\left[AJ_{p}\left(bx^c\right)+BN_{p}\left(bx^c\right)\right]\tag{4}$$ or $$y=x^{a}\left[AJ_{p}\left(bx^c\right)+B\left(\frac{\cos(\pi p)J_p\left(bx^c\right)-J_{-p}\left(bx^c\right)}{\sin(\pi p)}\right)\right]\tag{5}$$
The Airy differential equation is $$y^{\prime\prime}-xy=0\tag{6}$$ and has solution $$y=x^{1/2}Z_{1/3}\left(\frac23 ix^{3/2}\right)\tag{7}$$
By using
$$I_p(x)=i^{-p}J_p(ix)\tag{8}$$ $$K_p(x)=\frac{\pi}{2}i^{p+1}\left[J_p(ix)+i\left(\frac{\cos(\pi p)J_p(ix)-J_{-p}(ix)}{\sin(\pi p)}\right)\right]\tag{9}$$
My objective is to show that $(7)$ can be written in terms of $I_{1/3}$ and $K_{1/3}$ to obtain
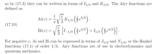
$$Ai(x)=\frac{1}{\pi}\sqrt{\frac{x}{3}}K_{1/3}\left(\frac23x^{3/2}\right)\tag{10}$$ $$Bi(x)=\sqrt{\frac{x}{3}}\left[I_{-1/3}\left(\frac23x^{3/2}\right)+I_{1/3}\left(\frac23x^{3/2}\right)\right]\tag{11}$$
Starting from $(7)$: $$\begin{align}y&=x^{1/2}Z_{1/3}\left(\frac23 ix^{3/2}\right)\\&=x^{1/2}\left[AJ_{1/3}\left(\frac23 ix^{3/2}\right)+BN_{1/3}\left(\frac23 ix^{3/2}\right)\right]\\&=x^{1/2}\left[AJ_{1/3}\left(\frac23ix^{3/2}\right)+B\left(\frac{\cos\left(\frac{\pi}{3}\right)J_{1/3}\left(\frac23ix^{3/2}\right)-J_{-1/3}\left(\frac23ix^{3/2}\right)}{\sin\left(\frac{\pi}{3}\right)}\right)\right]\\&=x^{1/2}\left[AJ_{1/3}\left(\frac23ix^{3/2}\right)+B\left(\frac{\frac12J_{1/3}\left(\frac23ix^{3/2}\right)-J_{-1/3}\left(\frac23ix^{3/2}\right)}{\left(\frac{\sqrt3}{2}\right)}\right)\right]\\&=x^{1/2}\left[AJ_{1/3}\left(\frac23ix^{3/2}\right)+\frac{BJ_{1/3}\left(\frac23ix^{3/2}\right)}{\sqrt3}-\frac{2BJ_{-1/3}\left(\frac23ix^{3/2}\right)}{\sqrt3}\right]\\&=x^{1/2}\left[Ai^{1/3}I_{1/3}\left(\frac23x^{3/2}\right)+\frac{i^{1/3}BI_{1/3}\left(\frac23x^{3/2}\right)}{\sqrt3}-\frac{2i^{-1/3}BI_{-1/3}\left(\frac23x^{3/2}\right)}{\sqrt3}\right]\tag{a}\end{align}$$ where in $(\mathrm{a})$ I used $(8)$ rearranged as $J_p(ix)=i^{p}I_p(x)$
I don't understand how to proceed with this calculation as I am unsure how to use $(9)$; I also have no idea what $i(x)$ means. Is $i$ really a function of $x$?
Is there anyone that could provide some hints or advice on how I can continue this calculation to obtain $(10)$ and $(11)$?
Below are some images showing some of the relevant formulae to this question:


